Перейти к содержанию
Форум химиков на XuMuK.ru.

Поиск

Показаны результаты для тегов 'мономер'.

  • Поиск по тегам

    Введите теги через запятую.
  • Поиск по автору

Тип контента


Форумы

  • Учащимся
    • Решение заданий
  • Химикам
    • Общий
    • Химия в быту
    • Вопрос-ответ
    • Органическая химия
    • Неорганическая химия
    • Биохимия
    • Токсикологическая химия
    • Фармацевтическая химия
    • Физическая химия
    • Аналитическая химия
    • Коллоидная химия
    • Электрохимия
    • Синтез соединений
    • Химическая технология
    • Полимеры
    • Техника безопасности
    • Книги
    • Выставки и конференции
    • Учеба
    • Работа
    • Барахолка
    • Курилка
    • О сайте и форуме

Поиск результатов в...

Поиск контента, содержащего...


Дата создания

  • Начало

    Конец


Дата обновления

  • Начало

    Конец


Фильтр по количеству...

Регистрация

  • Начало

    Конец


Группа


Telegram


VK Мессенджер


Город

Найдено 3 результата

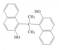
  1. Известен бисфенол Н на основе 2-нафтола и формальдегида. Возможной структурной формулы. Я не смог найти свойства и особенности полимеров (например эпоксидной смолы) на его основе. И основной вопрос, что известно насчёт мономера, подобного бисфенолу А, на основе 2-нафтола (т.е. который можно вероятно получить конденсацией ацетона с 2-нафтолом)? Он может выглядеть как-то так (в идеальных случаях): Получали-ли этот мономер (β-биснафтол А?), его свойства и применяли-ли его для синтеза полимеров?
  2. Здравствуйте! Подскажите, пожалуйста, можно ли удалить ингибитор - монометиловый эфир гидрохинона (MEHQ) из мономера 2-(диметиламино)этилметакрилата (http://www.sigmaaldrich.com/catalog/product/aldrich/234907) методом колоночной хроматографии вместо перегонки под вакуумом? Силикагель high-purity grade (Merck Grade 7734), pore size 60 Å, 70-230 mesh. (http://www.sigmaaldrich.com/catalog/product/sial/391484) Просто читал на разных форумах, что можно очистить или на SiO2 или Al2O3, или встряхиванием с 50% NaOH.
  3. Что является мономером ацетатного волокна? триацетат целлюлозы или же просто целлюлоза? запуталась.
×
×
  • Создать...

Важная информация

Мы разместили cookie-файлы на ваше устройство, чтобы помочь сделать этот сайт лучше. Вы можете изменить свои настройки cookie-файлов, или продолжить без изменения настроек.