Перейти к содержанию
Форум химиков на XuMuK.ru

Как доказать образование циклогексанона при окислении циклогексана?


GeRR

Рекомендуемые сообщения

🚑 Решение задач, контроши, рефераты, курсовые и другое! Онлайн сервис помощи учащимся. Цены в 2-3 раза ниже! 200 руб. на 1-й заказ по коду vsesdal143982

Как доказать, что при окислении циклогексана, наряду с циклогексанолом получился и циклогексанон? Напишите уравнения.

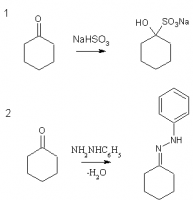
Образование бисульфитного соединения (1) и фенилгидразона (2):

post-42262-0-39234600-1323165718_thumb.png:

Ссылка на комментарий

Спасибо большое, но нельзя объяснить более подробно? так сказать "для чайников". Буду признателен

Если в продуктах окисления циклогексана присутствует циклогексанон (в смеси с циклогексанолом), то при действии раствора гидросульфита (NaHSO3), или фенилгидразина (NH2-NH-C6H5) будут образовываться твердые, малорастворимые осадки гидросульфитного соединения (1-гидрокси-циклогексилсульфоната натрия), или, соответственно - фенилгидразона циклогексанона. Образование этих соединений и доказывает присутствие циклогексанона.
Ссылка на комментарий

Для публикации сообщений создайте учётную запись или авторизуйтесь

Вы должны быть пользователем, чтобы оставить комментарий

Создать аккаунт

Зарегистрируйте новый аккаунт в нашем сообществе. Это очень просто!

Регистрация нового пользователя

Войти

Уже есть аккаунт? Войти в систему.

Войти
  • Последние посетители   0 пользователей онлайн

    • Ни одного зарегистрированного пользователя не просматривает данную страницу
×
×
  • Создать...

Важная информация

Мы разместили cookie-файлы на ваше устройство, чтобы помочь сделать этот сайт лучше. Вы можете изменить свои настройки cookie-файлов, или продолжить без изменения настроек.