Перейти к содержанию
Форум химиков на XuMuK.ru.

Структурные формулы изомеров гексина-1


Рекомендуемые сообщения

🚑 Решение задач, контроши, рефераты, курсовые и другое! Онлайн сервис помощи учащимся. Цены в 2-3 раза ниже! 200 руб. на 1-й заказ по коду vsesdal143982

Всем привет, нужна небольшая помощь!

Необходимо составить структурные формулы изомеров гексина-1 и указать названия, кто может, напишите пожалуйста!

И ещё: составить структурные формулы алкинов:

а) 3-метилпентин-1

 

б) 4,4-диметилгексин-2

 

в) 3-метил-5-этилгептин-1

Всем заранее спасибо :)

Изменено пользователем zhenya-chukarin
Ссылка на комментарий

Структурные формулы для 3х алкинов сделал, осталось только с изомерами гексина-1 разобраться, ответьте, кто иожет!)

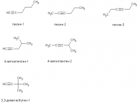
Если речь идёт только об изомерных алкинах, то их будет шесть штук:

post-42262-0-98862000-1324556825_thumb.png

Ссылка на комментарий

Для публикации сообщений создайте учётную запись или авторизуйтесь

Вы должны быть пользователем, чтобы оставить комментарий

Создать аккаунт

Зарегистрируйте новый аккаунт в нашем сообществе. Это очень просто!

Регистрация нового пользователя

Войти

Уже есть аккаунт? Войти в систему.

Войти
  • Последние посетители   0 пользователей онлайн

    • Ни одного зарегистрированного пользователя не просматривает данную страницу
×
×
  • Создать...

Важная информация

Мы разместили cookie-файлы на ваше устройство, чтобы помочь сделать этот сайт лучше. Вы можете изменить свои настройки cookie-файлов, или продолжить без изменения настроек.