Перейти к содержанию
Форум химиков на XuMuK.ru

Как образуется 2,5-дикетопиперазин из альфа-аминокислот?


mr.dyupin

Рекомендуемые сообщения

🚑 Решение задач, контроши, рефераты, курсовые и другое! Онлайн сервис помощи учащимся. Цены в 2-3 раза ниже! 200 руб. на 1-й заказ по коду vsesdal143982

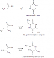
Напишите формулу 2,5-дикетопиперазина и реакции его образования или его производных при нагревании следующих альфа-аминокислот жирного ряда: а) глицина, б)альфа-аминомасляной кислоты, в) аланина . Назовите эти соединения

Ссылка на комментарий

Напишите формулу 2,5-дикетопиперазина и реакции его образования или его производных при нагревании следующих альфа-аминокислот жирного ряда: а) глицина, б)альфа-аминомасляной кислоты, в) аланина . Назовите эти соединения

post-42262-0-39946400-1324757026_thumb.png
Ссылка на комментарий

Для публикации сообщений создайте учётную запись или авторизуйтесь

Вы должны быть пользователем, чтобы оставить комментарий

Создать аккаунт

Зарегистрируйте новый аккаунт в нашем сообществе. Это очень просто!

Регистрация нового пользователя

Войти

Уже есть аккаунт? Войти в систему.

Войти
  • Последние посетители   0 пользователей онлайн

    • Ни одного зарегистрированного пользователя не просматривает данную страницу
×
×
  • Создать...

Важная информация

Мы разместили cookie-файлы на ваше устройство, чтобы помочь сделать этот сайт лучше. Вы можете изменить свои настройки cookie-файлов, или продолжить без изменения настроек.