Перейти к содержанию
Форум химиков на XuMuK.ru

Программы для получения структурных формул веществ по их названию


Рекомендуемые сообщения

🚑 Решение задач, контроши, рефераты, курсовые и другое! Онлайн сервис помощи учащимся. Цены в 2-3 раза ниже! 200 руб. на 1-й заказ по коду vsesdal143982

А зачем вам структурная формула по номенклатурному названию?

Если есть название по ИЮПАК, проще нарисовать самому, а потом проверить. Это могут многие программы.

Сложнее, если название тривиальное, тогда сначала надо выяснять, что это.

В редчайших случаях пользуюсь Reaxys, там есть возможность по названию, например "ферроцен", автоматически отобразить его структурную формулу, а потом вручную добавить к ней нужные заместители для поиска информации. Нарисовать ферроцен так, чтобы Reaxys правильно понял, у меня не получается.

Ссылка на комментарий

Даст только систематическое название, но я думаю, что вы формулу с ошибками воспроизвели.

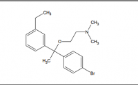
А если вот так:

post-106653-0-21842800-1409598144_thumb.png

А если вот так:

сегодня последний день, никак не могу определить название

Ссылка на комментарий

Для публикации сообщений создайте учётную запись или авторизуйтесь

Вы должны быть пользователем, чтобы оставить комментарий

Создать аккаунт

Зарегистрируйте новый аккаунт в нашем сообществе. Это очень просто!

Регистрация нового пользователя

Войти

Уже есть аккаунт? Войти в систему.

Войти
  • Последние посетители   0 пользователей онлайн

    • Ни одного зарегистрированного пользователя не просматривает данную страницу
×
×
  • Создать...

Важная информация

Мы разместили cookie-файлы на ваше устройство, чтобы помочь сделать этот сайт лучше. Вы можете изменить свои настройки cookie-файлов, или продолжить без изменения настроек.