Перейти к содержанию
Форум химиков на XuMuK.ru.

Правильные ли получились продукты реакции


Перейти к решению Решено yatcheh,

Рекомендуемые сообщения

🚑 Решение задач, контроши, рефераты, курсовые и другое! Онлайн сервис помощи учащимся. Цены в 2-3 раза ниже! 200 руб. на 1-й заказ по коду vsesdal143982

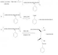
У меня осталась последняя цепочка реакции. Я очень не уверена в правильности продуктов реакции. А именно: получится ли в первой реакции бутадиен стироловые каучуки? Ведь потом сложно с этим соединением проводить последующие реакции.post-122426-0-55123000-1480427076_thumb.jpg

Ссылка на комментарий
  • Решение

У меня осталась последняя цепочка реакции. Я очень не уверена в правильности продуктов реакции. А именно: получится ли в первой реакции бутадиен стироловые каучуки? Ведь потом сложно с этим соединением проводить последующие реакции.

 

post-103913-0-18946800-1480446041_thumb.png

 

Первая стадия - реакция Дильса-Альдера. А вот дальше нужна буйная фантазия.

Реакции вполне осуществимые, хотя получаются два изомера, и последняя стадия невнятная. Идёт ли тут только окисление, или окисление с гидролизом (как я нарисовал), или окисление-гидролиз-дегидратация - я даже не знаю...

  • Like 1
Ссылка на комментарий

Я так понимаю что условия первой реакции определяют продукты. К примеру в присутствии щелочного металла получится смешанный каучук.

И существенно выше расплавления металла тут греть не стоит - упадёт степень полимеризации. Потом без инертного растворителя смесь схватится и из колбы её потом долго вымывать будет.


Хлорокись азота - активная штука, с кумолом реакция оканчивается на потолке.

Ссылка на комментарий

attachicon.gifnoname01.png

 

Первая стадия - реакция Дильса-Альдера. А вот дальше нужна буйная фантазия.

Реакции вполне осуществимые, хотя получаются два изомера, и последняя стадия невнятная. Идёт ли тут только окисление, или окисление с гидролизом (как я нарисовал), или окисление-гидролиз-дегидратация - я даже не знаю...

А там просто надо было провести реакцию не с изомерами, а с циклогексеном и его заместителями. Но принцип мне понятен, думаю, сама смогу написать. Спасибо вам за помощь, это было последнее задание.

Я так понимаю что условия первой реакции определяют продукты. К примеру в присутствии щелочного металла получится смешанный каучук.

И существенно выше расплавления металла тут греть не стоит - упадёт степень полимеризации. Потом без инертного растворителя смесь схватится и из колбы её потом долго вымывать будет.

Хлорокись азота - активная штука, с кумолом реакция оканчивается на потолке.

Нет, тут продукты неизвестны, главное тут реагенты, которые надо добавить к соединениям.

Ссылка на комментарий

Для публикации сообщений создайте учётную запись или авторизуйтесь

Вы должны быть пользователем, чтобы оставить комментарий

Создать аккаунт

Зарегистрируйте новый аккаунт в нашем сообществе. Это очень просто!

Регистрация нового пользователя

Войти

Уже есть аккаунт? Войти в систему.

Войти
  • Последние посетители   0 пользователей онлайн

    • Ни одного зарегистрированного пользователя не просматривает данную страницу
×
×
  • Создать...

Важная информация

Мы разместили cookie-файлы на ваше устройство, чтобы помочь сделать этот сайт лучше. Вы можете изменить свои настройки cookie-файлов, или продолжить без изменения настроек.