Перейти к содержанию
Форум химиков на XuMuK.ru.

Как синтезировать кумол из ацетона и изопропилбромида?


Alice98

Рекомендуемые сообщения

🚑 Решение задач, контроши, рефераты, курсовые и другое! Онлайн сервис помощи учащимся. Цены в 2-3 раза ниже! 200 руб. на 1-й заказ по коду vsesdal143982

Фактически задача сводится к получению бензола из ацетона с последующим алкилированием его изопропилбромидом по реакции Фриделя-Крафтса. Сначала ацетон конденсируется в мезитилен (1,3,5-триметилбензол) при действии конц. H2SO4, потом мезитилен окисляется в тримезиновую кислоту (1,3,5-бензолтрикарбоновая), потом эта кислота декарбоксилируется по всем трём карбоксилам сплавлением её тринатриевой соли с NaOH, и всё - получился бензол.

Ссылка на комментарий

Здравствуйте. Подскажите как изопропилбензол превращается в н-пропилбензол мне интересен сам механизм. Про это увидел в решении к ВСОШ региональный этап за 2011 год.      В пояснении написано это:

Поскольку н-пропилбензол стабильнее, чем изопропилбензол, последний в условиях установления термодинамического равновесия (очень долгое выдерживание реакционной смеси) в значительной степени превращается в н-пропилбензол .

Ссылка на комментарий

Здравствуйте. Подскажите как изопропилбензол превращается в н-пропилбензол мне интересен сам механизм. Про это увидел в решении к ВСОШ региональный этап за 2011 год.      В пояснении написано это:

Поскольку н-пропилбензол стабильнее, чем изопропилбензол, последний в условиях установления термодинамического равновесия (очень долгое выдерживание реакционной смеси) в значительной степени превращается в н-пропилбензол .

 

Гм, а что за реакционная смесь, с каким галогенпроизводным (хлор-, бром-, иод-) и катализатором? Насколько мне известно, при алкилировании бензола н-пропилхлоридом с AlCl3, нормальный пропильный радикал, наоборот, изомеризуется в изопропильный, и на выходе вместо пропилбензола в основном прёт кумол.

Изменено пользователем Аль де Баран
Ссылка на комментарий

Гм, а что за реакционная смесь, с каким галогенпроизводным (хлор-, бром-, иод-) и катализатором? Насколько мне известно, при алкилировании бензола н-пропилхлоридом с AlCl3, нормальный пропильный радикал, наоборот, изомеризуется в изопропильный, и на выходе вместо пропилбензола в основном прёт кумол.

 

В принципе это возможно. Если н-пропилбензол действительно стабильнее кумола. Алкилирование - обратимая реакция, а в равновесии с изопропильным катионом всегда есть некоторое количество нормального.

Превращается же пара- и орто-ксилол в мета-ксилол при длительном воздействии катализатора (BF3 + HF, например).

  • Like 1
Ссылка на комментарий

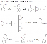
Есть фото реакции. Можете написать как реакция протекает, через какие промежуточные соединения, как происходит присоединение HBr.

 

post-103913-0-04839800-1514661938_thumb.png

 

HBr в органическом растворителе - весьма слабая кислота. А вот в присутствии FeBr3 образуется весьма сильная комплексная кислота - H[FeBr4], способная протонировать бензольное ядро, и обращать вспять электрофильное замещение водорода на алкильную группу.

 

В таком виде (изомеризация) реакция идёт в присутствии существенного избытка бензола. Если чистый кумол подвергать такой экзекуции, то там, из-за перекрёстного переалкилирования, получится смесь бензола, моно-, ди- и триалкилзамещённых продуктов.

Изменено пользователем yatcheh
  • Like 2
Ссылка на комментарий
attachicon.gifnoname01.png

 

HBr в органическом растворителе - весьма слабая кислота. А вот в присутствии FeBr3 образуется весьма сильная комплексная кислота - H[FeBr4], способная протонировать бензольное ядро, и обращать вспять электрофильное замещение водорода на алкильную группу.

 

В таком виде (изомеризация) реакция идёт в присутствии существенного избытка бензола. Если чистый кумол подвергать такой экзекуции, то там, из-за перекрёстного переалкилирования, получится смесь бензола, моно-, ди- и триалкилзамещённых продуктов.

Спасибо вам. Очень помогли!

Ссылка на комментарий

Для публикации сообщений создайте учётную запись или авторизуйтесь

Вы должны быть пользователем, чтобы оставить комментарий

Создать аккаунт

Зарегистрируйте новый аккаунт в нашем сообществе. Это очень просто!

Регистрация нового пользователя

Войти

Уже есть аккаунт? Войти в систему.

Войти
  • Последние посетители   0 пользователей онлайн

    • Ни одного зарегистрированного пользователя не просматривает данную страницу
×
×
  • Создать...

Важная информация

Мы разместили cookie-файлы на ваше устройство, чтобы помочь сделать этот сайт лучше. Вы можете изменить свои настройки cookie-файлов, или продолжить без изменения настроек.