Перейти к содержанию
Форум химиков

Механизм реакции в органической химии


Olga.Laus

Рекомендуемые сообщения

🚑 Решение задач, контроши, рефераты, курсовые и другое! Онлайн сервис помощи учащимся. Цены в 2-3 раза ниже! 200 руб. на 1-й заказ по коду vsesdal143982

Здравствуйте! :)

 

Пытаюсь решить задачку по органической химии, и она завела меня в тупик. Может быть кто-нибудь может подсказать на верном ли я пути, и что случиться дальше.

Я прилагаю свои попытки.

 

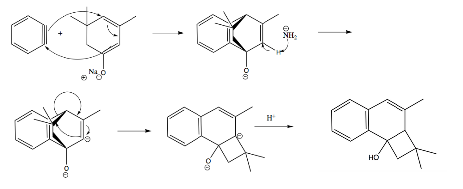
3,5,5-триметил-2-циклогексен-1-он реагитует с тремя NaNH2 в THF и переходит в форму энолата.

После того как бромбензен добавлен, раствор перемешивается в течении 4 часов и продукт имеет выход реакции 30%.

Нужно составить механизм реакции.

В реакции присутсвует арин.

 

В своем решении я пока-что использовала 2  NaNH2 не вижy где мог бы реагировать третий.

 

Спасибо вам большое!

 

 

 

 

1.png

2.jpg

Изменено пользователем Olga.Laus
Ссылка на комментарий
23 часа назад, Olga.Laus сказал:

Здравствуйте! :)

 

Пытаюсь решить задачку по органической химии, и она завела меня в тупик. Может быть кто-нибудь может подсказать на верном ли я пути, и что случиться дальше.

Я прилагаю свои попытки.

 

3,5,5-триметил-2-циклогексен-1-он реагитует с тремя NaNH2 в THF и переходит в форму энолата.

После того как бромбензен добавлен, раствор перемешивается в течении 4 часов и продукт имеет выход реакции 30%.

Нужно составить механизм реакции.

В реакции присутсвует арин.

 

В своем решении я пока-что использовала 2  NaNH2 не вижy где мог бы реагировать третий.

 

Спасибо вам большое!

 

 

 

 

1.png

 

 

Такой енол, как у вас, получиться не может. Тут могут два енола, но только из одного может получиться такой продукт. 

noname01.png.d51104f2f0010aef311d0c245f877270.png

 

На первой стадии получается енол в виде диена, на второй стадии идёт реакция Дильса-Альдера (арин - хороший диенофил). На третьей - перегруппировка с сужением цикла и сопряжением кратной связи.

Мне так кажется...

А вот третьему NaNH2 тут действительно места нету.

Ссылка на комментарий
2 часа назад, urri сказал:

Такой енол,как у Вас,получиться,кстати,тоже не может:bu:

 

С чего бы это? Тут два енола возможны:

noname02.png.1df5cd030164bde783a91156761d0dc2.png

 

Протон  в альфа-положении к кратной связи, сопряжённой с карбонилом, такой же "кислый", как и в альфа-положении к карбонилу. Известный эффект переноса влияния в сопряжённых системах.

А указанный выход в 30% какбэ намекает, что есть и другой продукт :)

Изменено пользователем yatcheh
Ссылка на комментарий

Спасибо вам большое за помощь!  :) 

Стало намного яснее!  

Да, я сама сомневалась по поводу моего енола, но это было единственное, что как-то приближалось к продукту.

Я подумала, может быть использовать третий эквивалент NaNH2, что бы удалить протон и таким образом сделать перегруппировку?

 

 

 

 

 

Screen Shot 2018-08-30 at 22.08.33.png

Ссылка на комментарий
9 часов назад, yatcheh сказал:

 

С чего бы это? Тут два енола возможны:

noname02.png.1df5cd030164bde783a91156761d0dc2.png

 

Протон  в альфа-положении к кратной связи, сопряжённой с карбонилом, такой же "кислый", как и в альфа-положении к карбонилу. Известный эффект переноса влияния в сопряжённых системах.

А указанный выход в 30% какбэ намекает, что есть и другой продукт :)

 

Спасибо вам большое за помощь!  :) 

Стало намного яснее!  

Да, я сама сомневалась по поводу моего енола, но это было единственное, что как-то приближалось к продукту.

Я подумала, может быть использовать третий эквивалент NaNH2, что бы удалить протон и таким образом сделать перегруппировку?

 

 

 

 

 

 

Screen Shot 2018-08-30 at 22.08.33.png

Ссылка на комментарий
11 час назад, Olga.Laus сказал:

 

Спасибо вам большое за помощь!  :) 

Стало намного яснее!  

Да, я сама сомневалась по поводу моего енола, но это было единственное, что как-то приближалось к продукту.

Я подумала, может быть использовать третий эквивалент NaNH2, что бы удалить протон и таким образом сделать перегруппировку?

 

 

За механизм перегруппировки ничего не скажу, но и в этом случае амид натрия выступает в качестве катализатора, а не реагента, протон-то возвращается.

Изменено пользователем yatcheh
Ссылка на комментарий

Для публикации сообщений создайте учётную запись или авторизуйтесь

Вы должны быть пользователем, чтобы оставить комментарий

Создать аккаунт

Зарегистрируйте новый аккаунт в нашем сообществе. Это очень просто!

Регистрация нового пользователя

Войти

Уже есть аккаунт? Войти в систему.

Войти
  • Последние посетители   0 пользователей онлайн

    • Ни одного зарегистрированного пользователя не просматривает данную страницу
×
×
  • Создать...

Важная информация

Мы разместили cookie-файлы на ваше устройство, чтобы помочь сделать этот сайт лучше. Вы можете изменить свои настройки cookie-файлов, или продолжить без изменения настроек.