Перейти к содержанию
Форум химиков на XuMuK.ru.

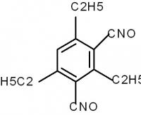
синтез 1,3-ди-N-оксид-1,3-динитрил-2,4,6-триэтилбензола


Lisenok

Рекомендуемые сообщения

🚑 Решение задач, контроши, рефераты, курсовые и другое! Онлайн сервис помощи учащимся. Цены в 2-3 раза ниже! 200 руб. на 1-й заказ по коду vsesdal143982

По синтезу 1,3-ди-N-оксид-1,3-динитрил-2,4,6-триэтилбензола в инете практически ничего толкового найти не удалось. Подумала, может здесь кто-нибудь про это что-то знает. Любая информация пригодится, и ввиде ссылок, разумеется, в том числе.

Ручаюсь, это нужно НЕ для производства ВВ и всякой дряни. Заранее благодарна за помощь.

Ссылка на комментарий

Судя по вебу, данный отвердитель полимеров с кодовым названием ТОН-2 производился питерским СКТБ "Технолог", http://www.technolog.spb.ru/ , по ТУ 2471-307-05121441-98. Купите у них продукт или попросите ссылку на методику.

Ссылка на комментарий

Для публикации сообщений создайте учётную запись или авторизуйтесь

Вы должны быть пользователем, чтобы оставить комментарий

Создать аккаунт

Зарегистрируйте новый аккаунт в нашем сообществе. Это очень просто!

Регистрация нового пользователя

Войти

Уже есть аккаунт? Войти в систему.

Войти
  • Последние посетители   0 пользователей онлайн

    • Ни одного зарегистрированного пользователя не просматривает данную страницу
×
×
  • Создать...

Важная информация

Мы разместили cookie-файлы на ваше устройство, чтобы помочь сделать этот сайт лучше. Вы можете изменить свои настройки cookie-файлов, или продолжить без изменения настроек.