Перейти к содержанию
Форум химиков на XuMuK.ru.

Как составить уравнение химической реакции?


Рекомендуемые сообщения

🚑 Решение задач, контроши, рефераты, курсовые и другое! Онлайн сервис помощи учащимся. Цены в 2-3 раза ниже! 200 руб. на 1-й заказ по коду vsesdal143982

post-42262-0-75412500-1311844633_thumb.png

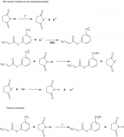
Сейчас вроде бы правильно...

Вторая реакция будет так?

Я просто пытаюсь сам разобраться в составлении механизмов реакций до начала нового семестра.post-19156-0-98463900-1311875435_thumb.jpg

 

post-42262-0-75412500-1311844633_thumb.png

Сейчас вроде бы правильно...

Спасибо!

Ссылка на комментарий

Вторая реакция будет так?

Я просто пытаюсь сам разобраться в составлении механизмов реакций до начала нового семестра.post-19156-0-98463900-1311875435_thumb.jpg

Бром не туда пойдёт. В условиях радикальной реакции он пойдёт в альфа-положение к двойной связи (аллильное замещение)

77026.gif

В остальном нарисовано верно.

Ссылка на комментарий

Бром не туда пойдёт. В условиях радикальной реакции он пойдёт в альфа-положение к двойной связи (аллильное замещение)

77026.gif

В остальном нарисовано верно.

Спасибо!

Ссылка на комментарий

Для публикации сообщений создайте учётную запись или авторизуйтесь

Вы должны быть пользователем, чтобы оставить комментарий

Создать аккаунт

Зарегистрируйте новый аккаунт в нашем сообществе. Это очень просто!

Регистрация нового пользователя

Войти

Уже есть аккаунт? Войти в систему.

Войти
  • Последние посетители   0 пользователей онлайн

    • Ни одного зарегистрированного пользователя не просматривает данную страницу
×
×
  • Создать...

Важная информация

Мы разместили cookie-файлы на ваше устройство, чтобы помочь сделать этот сайт лучше. Вы можете изменить свои настройки cookie-файлов, или продолжить без изменения настроек.