Перейти к содержанию
Форум химиков на XuMuK.ru.

правило Беккета-Кейзи


Рекомендуемые сообщения

🚑 Решение задач, контроши, рефераты, курсовые и другое! Онлайн сервис помощи учащимся. Цены в 2-3 раза ниже! 200 руб. на 1-й заказ по коду vsesdal143982

9. Bo второй половине ХХ века было сформулировано правило Беккета-Кейзи, оказавшееся полезным при “конструировании” структуры потенциальных анальгетиков гетероциклического ряда. Согласно этому правилу фармакофорный фрагмент имеет структуру:

 

Image1220.gif

 

 

 

Несколько стадий деструкции анальгетика А, содержащего такой фармакофор к образованию диеновой структуры Б, озонолиз которой дал смесь двух альдегидов предельного ряда, являющимися ближайшими гомологами, с массовой долей углерода, равной 48,6 % и соединения, имеющего структурную формулу:

 

 

Image1221.gif

 

Определите возможное строение исходного анальгетика, приведите схему его деструкции. Предложите схему его получения, используя в качестве исходных соединений на первой стадии синтеза винилацетилен и ацетон.

 

Ссылка на комментарий

Предложите схему его получения, используя в качестве исходных соединений на первой стадии синтеза винилацетилен и ацетон.

С диеном Б более-менее ясно:

post-42262-0-85170100-1321131734_thumb.png

Остаётся расшифровать предысторию.

Ссылка на комментарий

спасибо

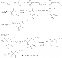
Немного изменил я диеновый продукт. Тот, что я нарисовал раньше, из винилацетилена и ацетона получить невозможно. На самом деле полное решение задачи так выглядит:

post-42262-0-88525200-1321174387_thumb.png

Ссылка на комментарий

Немного изменил я диеновый продукт. Тот, что я нарисовал раньше, из винилацетилена и ацетона получить невозможно. На самом деле полное решение задачи так выглядит:

post-42262-0-88525200-1321174387_thumb.png

Подскажите, пожалуйста, название этого диена по систематической номенклатуре.

Ссылка на комментарий

Для публикации сообщений создайте учётную запись или авторизуйтесь

Вы должны быть пользователем, чтобы оставить комментарий

Создать аккаунт

Зарегистрируйте новый аккаунт в нашем сообществе. Это очень просто!

Регистрация нового пользователя

Войти

Уже есть аккаунт? Войти в систему.

Войти
  • Последние посетители   0 пользователей онлайн

    • Ни одного зарегистрированного пользователя не просматривает данную страницу
×
×
  • Создать...

Важная информация

Мы разместили cookie-файлы на ваше устройство, чтобы помочь сделать этот сайт лучше. Вы можете изменить свои настройки cookie-файлов, или продолжить без изменения настроек.