Перейти к содержанию
Форум химиков на XuMuK.ru.

Как очистить соланин из водного экстракта, содержащего хлорофилл и соланидин из хлороформного экстракта?


Рекомендуемые сообщения

🚑 Решение задач, контроши, рефераты, курсовые и другое! Онлайн сервис помощи учащимся. Цены в 2-3 раза ниже! 200 руб. на 1-й заказ по коду vsesdal143982

Никогда не занималась очисткой органических веществ. Как я себе представляю .... надо взять делительную воронку, заполнить сорбентом (только вот каким, может подскажите где взять информацию о свойствах сорбентов и какой взять для очистки для водного раствора с соланином и хлороформного раствора с соланидином) и потихоньку налить раствор, ждать фильтрации, сверху дополнительно подливать исходный растворитель,  подставлять поочередно пробирки для фильтрата, пробирки высушить ну и после скажем качественной реакции, ну или гх анализа найти требуемое вещество (наверное малюсенькой массы). Помогите...плиз ...

solanine.gif

α-solanineimage.png.4671e757839eced69599d148fb64a70e.png (англ.)

 

 

Гликозид соланидина  Внешний вид:

игольчатые кристаллы (растворитель перекристаллизации - этанол)

Брутто-формула (по системе Хилла для органических веществ):

C45H73NO15 CAS №: 20562-02-1

Молекулярная масса (в а.е.м.): 868,06

Температура плавления (в °C):285

Температура разложения (в °C):285

Растворимость (в г/100 г растворителя или характеристика):

вода: 0,002604 (15°C) [Лит.]
диэтиловый эфир: не растворим [
Лит.]
этанол: растворим (78°C) [
Лит.]Вкус, запах, гигроскопичность:вкус: горький

 

 

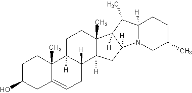
соланидин 

image.png.b5a158f4d79e62b7ab1cf6d3fc97103d.png

 

Внешний вид:игольчатые кристаллы (растворитель перекристаллизации - диэтиловый эфир)Брутто-формула (по системе Хилла для органических веществ):C27H43NO Молекулярная масса (в а.е.м.): 397,65

Температура плавления (в °C):219

Растворимость (в г/100 г растворителя или характеристика):

вода: трудно растворим [Лит.]
диэтиловый эфир: трудно растворим [
Лит.]
хлороформ: растворим [
Лит.]
этанол: растворим (78°C) [
Лит.]
 

Ссылка на комментарий

Для публикации сообщений создайте учётную запись или авторизуйтесь

Вы должны быть пользователем, чтобы оставить комментарий

Создать аккаунт

Зарегистрируйте новый аккаунт в нашем сообществе. Это очень просто!

Регистрация нового пользователя

Войти

Уже есть аккаунт? Войти в систему.

Войти
  • Последние посетители   0 пользователей онлайн

    • Ни одного зарегистрированного пользователя не просматривает данную страницу
×
×
  • Создать...

Важная информация

Мы разместили cookie-файлы на ваше устройство, чтобы помочь сделать этот сайт лучше. Вы можете изменить свои настройки cookie-файлов, или продолжить без изменения настроек.