Перейти к содержанию
Форум химиков на XuMuK.ru.

Напишите уравнения реакций. Схемы


Рекомендуемые сообщения

🚑 Решение задач, контроши, рефераты, курсовые и другое! Онлайн сервис помощи учащимся. Цены в 2-3 раза ниже! 200 руб. на 1-й заказ по коду vsesdal143982
21 час назад, avg сказал:

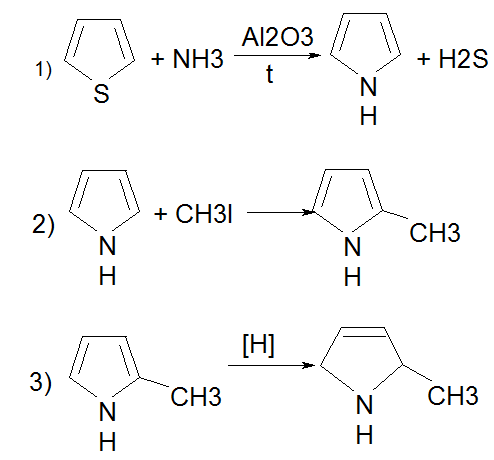
1)+nh3, -h2s,t кат, составители ничего другого не оставляют=>пиррол
2)металлирование, +ch3hal=>2- метилпиррол
3) частичное гидрирование

проверьте пожалуйста верно?

954835720_.png.9aacb7a874d49f3f4d06fa0246badcee.png

Ссылка на комментарий
Только что, avg сказал:

да, в 2) обычно так делают С4H4NH+ CH3MgI=C4H4NMgI + CH4
C4H4NMgI + CH3I= 2-метилпиррол + МgI2

Я еще нашел в интернете что можно так сделать, алкилирование

image.png.44540d7735495758387c753f795deaca.png

Так можно?

Ссылка на комментарий

Для публикации сообщений создайте учётную запись или авторизуйтесь

Вы должны быть пользователем, чтобы оставить комментарий

Создать аккаунт

Зарегистрируйте новый аккаунт в нашем сообществе. Это очень просто!

Регистрация нового пользователя

Войти

Уже есть аккаунт? Войти в систему.

Войти
  • Последние посетители   0 пользователей онлайн

    • Ни одного зарегистрированного пользователя не просматривает данную страницу
×
×
  • Создать...

Важная информация

Мы разместили cookie-файлы на ваше устройство, чтобы помочь сделать этот сайт лучше. Вы можете изменить свои настройки cookie-файлов, или продолжить без изменения настроек.