Перейти к содержанию
Форум химиков на XuMuK.ru.

Загущение эпоксидного состава


Татьянка16

Рекомендуемые сообщения

🚑 Решение задач, контроши, рефераты, курсовые и другое! Онлайн сервис помощи учащимся. Цены в 2-3 раза ниже! 200 руб. на 1-й заказ по коду vsesdal143982
15.07.2023 в 22:21, дедаЯга сказал:

Сударь, вот скажите, а быть проще не пытались? 

Быть не пытался. Видел, как солидные дяденьки пытались - омерзительное зрелище. Один стал заискивающе говорить с работягами, применяя к себе всякие принижающие термины. Вынужден был уйти. Отставной майор, заведя меня в укромное место, стал жаловаться на рабочих - не слушаются, дескать. А как же ты в армии-то? А он (я глазам не поверил!) собрался слезу пустить. Мне его стало жалко. Но, ушёл он сам.

Говорить проще пытался. Но вот как-то, вор в законе, который зауважав меня и распорядился меня не трогать, предложил "быть собой" и говорить, не стараясь подладиться под аборигенов. Дело было в КПЗ областного городка. Говорить надо, я понял, не проще, а доходчивее. "Упрощаясь" до уровня, в котором оказался, можешь себя в нём потерять. Хотя некоторые считают это вполне нормальной социальной мимикрией. Каждому - своё.

15.07.2023 в 22:21, дедаЯга сказал:

А его эксперты читают. Хотя оно конечно, куда им.

Видимо - туда. Я термин гелирование знаю, а "геляция" встретил впервые. Мне он просто не нравится - слух режет. Но, сейчас в Сети каких только новых терминов и выражений не встретишь - словотворчество же проще, чем производство материалов. 

 

15.07.2023 в 22:21, дедаЯга сказал:

Вот объясните мне, почему такое?

Потому что Мир таков: не прост, разнообразен. А его упрощение до самого простого - полагаю к одичанию приводит. 

 

15.07.2023 в 22:21, дедаЯга сказал:

Додумываете, как двоечник

Странно: я полагал, что двоечники не особо склонны к додумыванию и к думанию, вообще. Может - троечники?

15.07.2023 в 22:21, дедаЯга сказал:

Может поэтому все Ваши предложения не принимаются, что Вы на всех сверху вниз смотрите?

Что за предложения? Кому и что я предлагал? Я, видите ли, не коммивояжёр и ничего никому не пытаюсь врюхать своей писаниной. Вы, надо полагать, мне посочувствовали и рекомендацию дать изволили? Право, не стоило. И давать и судить обо мне)

15.07.2023 в 23:14, RET сказал:

 

Что это за вещь?

Отвердители такие. Из ПЭПА, ДЭТА и прочих с жирными кислотами получают. Ряд преимуществ по сравнению с аминами- отвердителями имеют.

  • Like 1
Ссылка на комментарий
В 15.07.2023 в 22:24, москатель сказал:

Странно: я полагал, что двоечники не особо склонны к додумыванию и к думанию, вообще. Может - троечники?

Вот уже и торговаться начали. 

Ссылка на комментарий
16.07.2023 в 12:22, дедаЯга сказал:

Вот уже и торговаться начали.

Рамолик! Кто же не слышал или не читал про выдающихся людей, в юности бывших троечниками? Эдисон, Королёв, Эйнштейн и пр. ? 

Цитата

 

Двоечники же не хотят думать сами, не любят трудится. Это не для них. Поэтому им тоже проще работать на кого-то.

А вот троечники за время школы и института учатся мыслить нестандартно.. Они умеют бороться с непредсказуемыми обстоятельствами и переворачивать их в свою сторону.

 

Вы на химический форум пришли что-то химическое узнать или побрюзжать, да простоте поучить?

16.07.2023 в 15:33, RET сказал:

но смолы станут мягкие

Аминоамидные смолы - действительно "мягкие". Вязкие жидкости. Но, ПЭПА, цианоэтилированная ПЭПА - вообще, легко подвижные жидкости! Или Вы имеете в виду продукт их реакции с эпоксидными олигомерами? Так серия знаменитых клеев серии ВК - 60 в.ч. эпоксидный олигомер + 40 в.ч. олигоаминоамидной смолы. Предел прочности на сдвиг ст3/ст3 - около 300 кг/см. Саморазравнивающиеся полы - мы делали эпоксидно-силоксановые. Отвердитель - олигоаминоамиды. Это покрытия для промышленных помещений. Автопогрузчики по ним ездят. Я работал с быстро релаксирующими эпоксидными компаундами. Сотрудники ОГТ по инструкции проверяли у таких отливок твёрдость по Бринеллю. В отделе главного металлурга вдавливали шарик в образец. Сотрудница шлёп-шлёп - топ-топ - несла образец в ОГТ к измерительному микроскопу. И ах! Удивлялась: след от шарика исчезал! Она в замешательстве - всё же по инструкции для эпоксидных компаундов! Так твёрдый или мягкий был этот компаунд? Он был просто прочный. Термо- ударостойкий. Для Вас - что есть мягкость?

  • Like 1
Ссылка на комментарий
В 16.07.2023 в 21:02, москатель сказал:

Рамолик! Кто же не слышал или не читал про выдающихся людей, в юности бывших троечниками? Эдисон, Королёв, Эйнштейн и пр. ? 

Так не двоишниками же. Троешник горд своими знаниями, не торгуется за оценку, как жалкий двоешник.. Учитывая Ваше быкование на банальном форуме, можно ставить диагноз. Но это уже к другим специалистам.

Всё Ваше шипкоумие легко компенсируется двумя правильными вопросами нейросети. Господи, тема яйца выеденного не стоит, а столько говна на вентилятор. 

Твердый или мягкий? Деревня, это упругость. Мягкий....

  • Согласен! 1
Ссылка на комментарий
16.07.2023 в 22:26, дедаЯга сказал:

Деревня, это упругость

Нет дед, ты деревню свою не вспоминай. Не поможет,  рамолик ты упругий)) Упругость  - это способность сопротивляться растяжению и сохранять целостность. Сколько твоё понимание не растягивай - ты сопротивляешься и сохраняешь целостность окаменевшего. Упругость - обычно категория, применяющаяся к металлам и другим твёрдым телам с высоким модулем Юнга. У полимеров - эластичность. Это способность растягиваться и не рваться. То есть эластичный растягивается, упругий не растягивается. Противоположные качества или свойства.

 

Ссылка на комментарий
В 16.07.2023 в 22:35, москатель сказал:

То есть эластичный растягивается, упругий не растягивается.

Юноша, не позорься. Двоешник, закон Гука еще в школе учили. Читай, хотя бы, Википедию, для тебя же пишут: "В физике упругость (или, реже, эластичность (для тебя выделил) свойство твёрдых материалов возвращаться в изначальную форму при упругой деформации. Это одно и тоже. 

 

Сидят Эйнштейн, Эдисон и Королёв. Эдисон так: слушайте, пацаны, тут какой-то заливальщик себя с нами в один ряд поставил. Королёв: о, у нас как раз место заливальщика свободно.

  • Хахахахахаха! 1
Ссылка на комментарий
17.07.2023 в 11:35, дедаЯга сказал:

Википедию

чтишь? Красава, дед. Как раздухарился -то - бабе Яге своей покажешь и кикиморам с соседних болот - как ты на форуме блестяще выступил. Долго потом квакать будут про то, что, мол, мы деда Ягой кликали, а он вона какой: ого-го! Конечно, ты прав: термины, они в разном приближении разное значение иметь могут. Тот же закон Гука - в узком интервале обратимых и пропорциональных напряжению деформациях справедлив. Модули сжатия, сдвига и пр должны бы быть равны друг другу и модулю Юнга. Но, у полимеров не так. Да, и вообще, реальные материалы не гуковской формулой описываются, а формулами, соответствующими моделям. И проявляют вязкоупругие свойства - суммарно и упругий и текучий характер кажут.

Но, доказывать тебе мне ничего не хочется - хочешь - считай, как в твоей википедии написано, что это одно и то же. Договариваются о значениях и областях применения терминов спорящие профессионалы, люди одного сообщества или работающие в одной теме. Делать мне, правда, сейчас особо ничего ( и не хочется) - ждём на неделе вердикта комиссии. Тема наша неожиданно получилась вдруг такая аккуратненькая, понятная. И даже красивая. И мы вроде, как замерли, ни за что пока не берёмся. Поболтушки на около -темы. Дожди зарядили.  Тут, на форуме я встречал философствующего пожарника и мастерового, взявшегося за наносинтез.  А, теперь вот в паноптикум - воплощение героя рассказа Шукшина ( "Срезал" - о «философском диспуте» между кандидатом наук и работником пилорамы). Но как-то быстро стало неинтересно и не полезно. Ты бы что-нибудь рассказал самобытно химическое, что ли. Курьи ножки чем к избушке клеите или про пропитку ступы?  Тролль из тебя не захватывающе интересный. Шутки твои и сентенции рамоли отдают. Встретил я как-то в Сети шутку:

Цитата

 

Овощ в помощь!

Простите, что?

Хрен с вами...

 

Вот и тебе, дед, для оживления - хрен в ... помощь)) Ну? Как ты? Соберись, коль уж пишешь на форуме, и что-нибудь харАктерное, оригинальное изложи. Термины  мусолить - тут уже есть забавник. Цепляться, да шутковать - иди в "Курилку".

Изменено пользователем москатель
Ссылка на комментарий
В 17.07.2023 в 17:11, москатель сказал:

Модули сжатия, сдвига и пр должны бы быть равны друг другу и модулю Юнга.

Ну перестань себя топить. Чо, вожжа под хвост попала? Бывает. Остепенись.

 

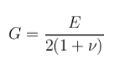
Блин, двоешник сопромату решил поучить. Лови, двоешник, связь модуля Юнга (прикинь, а он же модуль сжатия, модуль продольного сжатия и еще куча вариантов!!!) и модуля сдвига:

image.png.f9e8f019e9573ff47c274e8aa1606bd9.png

Ежели чо, эта галочка, реальные пацаны её произносят как "ню" - коэффициент Пуассона.

Ссылка на комментарий

Для публикации сообщений создайте учётную запись или авторизуйтесь

Вы должны быть пользователем, чтобы оставить комментарий

Создать аккаунт

Зарегистрируйте новый аккаунт в нашем сообществе. Это очень просто!

Регистрация нового пользователя

Войти

Уже есть аккаунт? Войти в систему.

Войти
  • Последние посетители   0 пользователей онлайн

    • Ни одного зарегистрированного пользователя не просматривает данную страницу
×
×
  • Создать...

Важная информация

Мы разместили cookie-файлы на ваше устройство, чтобы помочь сделать этот сайт лучше. Вы можете изменить свои настройки cookie-файлов, или продолжить без изменения настроек.