Перейти к содержанию
Форум химиков на XuMuK.ru.

Синтез мономера бензольного производного помощь


probirka2

Рекомендуемые сообщения

🚑 Решение задач, контроши, рефераты, курсовые и другое! Онлайн сервис помощи учащимся. Цены в 2-3 раза ниже! 200 руб. на 1-й заказ по коду vsesdal143982

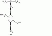
Необходимо для опытов небольшое количество мономера синтезировать. Мономер производное бензола (в приложении рисунок).

Кто сможет помочь отзовитесь. Как самому разработать методику синтеза по Бельштейну?

Где найти тома Бельштейна он-лайн?

post-48207-0-84197300-1296409890_thumb.gif

Ссылка на комментарий

Для публикации сообщений создайте учётную запись или авторизуйтесь

Вы должны быть пользователем, чтобы оставить комментарий

Создать аккаунт

Зарегистрируйте новый аккаунт в нашем сообществе. Это очень просто!

Регистрация нового пользователя

Войти

Уже есть аккаунт? Войти в систему.

Войти
  • Последние посетители   0 пользователей онлайн

    • Ни одного зарегистрированного пользователя не просматривает данную страницу
×
×
  • Создать...

Важная информация

Мы разместили cookie-файлы на ваше устройство, чтобы помочь сделать этот сайт лучше. Вы можете изменить свои настройки cookie-файлов, или продолжить без изменения настроек.