Перейти к содержанию
Форум химиков на XuMuK.ru.

Поиск

Показаны результаты для тегов 'диазотирование'.

  • Поиск по тегам

    Введите теги через запятую.
  • Поиск по автору

Тип контента


Форумы

  • Учащимся
    • Решение заданий
  • Химикам
    • Общий
    • Химия в быту
    • Вопрос-ответ
    • Органическая химия
    • Неорганическая химия
    • Биохимия
    • Токсикологическая химия
    • Фармацевтическая химия
    • Физическая химия
    • Аналитическая химия
    • Коллоидная химия
    • Электрохимия
    • Синтез соединений
    • Химическая технология
    • Полимеры
    • Техника безопасности
    • Книги
    • Выставки и конференции
    • Учеба
    • Работа
    • Барахолка
    • Курилка
    • О сайте и форуме

Поиск результатов в...

Поиск контента, содержащего...


Дата создания

  • Начало

    Конец


Дата обновления

  • Начало

    Конец


Фильтр по количеству...

Регистрация

  • Начало

    Конец


Группа


Telegram


VK Мессенджер


Город

Найдено 4 результата

  1. Здравствуйте, знатоки. На днях, возник спор с преподавателем: сколько эквивалентов НСl участвует в реакции диазотирования? Как раз для поиска ответа на этот вопрос и создала тему. Помогите, пожалуйста, разобраться. А так же... Еще один вопрос, который напрямую связан с предыдущим вопросом. С преподавателем считали опираясь на следующий механизм: Однако, пока искала ответ на свой вопрос, наткнулась еще на один механизм, который немного отличается от приведенного ранее (прикрепляю ниже). Поэтому второй вопрос: Какой из механизмов более верный? Заранее большое спасибо
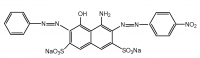
  2. Господа, возник вопрос при решении задачи: "Каким способом из H-кислоты (1-амино-8-оксинафталин-3,6-дисульфокислота), анилина и п-нитроанилина получить краситель: Укажите приблизительное значение pH реакционной смеси на каждой стадии процесса". Я понимаю что делается тут все через диазотирование и азосочетание. Но вот вопрос, если действовать, к примеру, диазобензолом на данную H-кислоту, атака может пойти в разные ведь полжения? И в 2 и в 7.. А может быть и рядом с сульфо группой? 4,5? Я чувствую, что здесь есть какой-то подвох с защитами и ориентацией, не может быть ведь все так просто, чтобы провести диазотирование и потом азосочетанием оба куска прилепить в нужные положения. Здесь нужны какие-то танцы и какой-то бубен. Извиняюсь за беспокойство, решение нашлось Если кому-то пригодится в будущем, то вот:
  3. Расположите в порядке уменьшения легкости диазотирования следующие соединения: 1) п -толуидин; 2) 2-бром-4-нитроанилин; 3) п -метоксианилин; 4) п- N,N-диметиламиноанилин; 5) 2,4,6-тринитроанилин
  4. Известно, что спирты реагируют с солями диазония двояко: с образованием алкоксипроизводных (эфиров фенолов) или с замещением диазогруппы на водород (спирт при это окисляется до альдегида). Как будет изменяться соотношение продуктов обеих реакций, если в пара-положении к диазогруппе в исходной соли арилдиазония будут находиться группы -NO2, -OCH3, -SO3H4, -N(CH3)2? Поясните ваш ответ.
×
×
  • Создать...

Важная информация

Мы разместили cookie-файлы на ваше устройство, чтобы помочь сделать этот сайт лучше. Вы можете изменить свои настройки cookie-файлов, или продолжить без изменения настроек.