Перейти к содержанию
Форум химиков на XuMuK.ru.

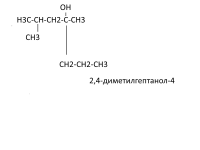
Это формула 2,4-диметилгептанола-4?


Рекомендуемые сообщения

🚑 Решение задач, контроши, рефераты, курсовые и другое! Онлайн сервис помощи учащимся. Цены в 2-3 раза ниже! 200 руб. на 1-й заказ по коду vsesdal143982

Ребятки проверьте пожалуйста .

 

Вся структура - бред.

Углерод то трёх-, то пяти-, то четырёхвалентный. 

Вы определитесь уже.

Изменено пользователем yatcheh
Ссылка на комментарий

Да первая версия неточная. У меня нет спецпрограммы для создания соединений,поэтому и получается коряво. Надеюсь вторая попытка более удачная. Нужно назвать соединение по международной номенклатуре. Опять же проверьте.Самые колкие замечания выслушаю без проблем.

post-108922-0-18850900-1422725155_thumb.png

Ссылка на комментарий

Да первая версия неточная. У меня нет спецпрограммы для создания соединений,поэтому и получается коряво. Надеюсь вторая попытка более удачная. Нужно назвать соединение по международной номенклатуре. Опять же проверьте.Самые колкие замечания выслушаю без проблем.

 

Вот теперь всё понятно. И название верное  :cn:

Ссылка на комментарий

Для публикации сообщений создайте учётную запись или авторизуйтесь

Вы должны быть пользователем, чтобы оставить комментарий

Создать аккаунт

Зарегистрируйте новый аккаунт в нашем сообществе. Это очень просто!

Регистрация нового пользователя

Войти

Уже есть аккаунт? Войти в систему.

Войти
  • Последние посетители   0 пользователей онлайн

    • Ни одного зарегистрированного пользователя не просматривает данную страницу
×
×
  • Создать...

Важная информация

Мы разместили cookie-файлы на ваше устройство, чтобы помочь сделать этот сайт лучше. Вы можете изменить свои настройки cookie-файлов, или продолжить без изменения настроек.