Перейти к содержанию
Форум химиков на XuMuK.ru.

Взаимодействие иодбензола и иодоводорода


krabs
Перейти к решению Решено yatcheh,

Рекомендуемые сообщения

🚑 Решение задач, контроши, рефераты, курсовые и другое! Онлайн сервис помощи учащимся. Цены в 2-3 раза ниже! 200 руб. на 1-й заказ по коду vsesdal143982

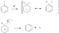
Здравствуйте.Помогите пожалуйста разобраться.При взаимодействии иодбензола с иодоводородом образуется иод и бензол. Знаю что здесь механизм SE2 то есть электрофильное замещение.А на счет написания механизма затрудняюсь...Спасибо. :rolleyes:

Ссылка на комментарий
  • Решение

Здравствуйте.Помогите пожалуйста разобраться.При взаимодействии иодбензола с иодоводородом образуется иод и бензол. Знаю что здесь механизм SE2 то есть электрофильное замещение.А на счет написания механизма затрудняюсь...Спасибо. :rolleyes:

 

post-103913-0-88589300-1461344887_thumb.png

  • Like 1
Ссылка на комментарий

Для публикации сообщений создайте учётную запись или авторизуйтесь

Вы должны быть пользователем, чтобы оставить комментарий

Создать аккаунт

Зарегистрируйте новый аккаунт в нашем сообществе. Это очень просто!

Регистрация нового пользователя

Войти

Уже есть аккаунт? Войти в систему.

Войти
  • Последние посетители   0 пользователей онлайн

    • Ни одного зарегистрированного пользователя не просматривает данную страницу
×
×
  • Создать...

Важная информация

Мы разместили cookie-файлы на ваше устройство, чтобы помочь сделать этот сайт лучше. Вы можете изменить свои настройки cookie-файлов, или продолжить без изменения настроек.