Перейти к содержанию
Форум химиков на XuMuK.ru.

получение 2-метил-3-этил-2-пентена


marinafff

Рекомендуемые сообщения

🚑 Решение задач, контроши, рефераты, курсовые и другое! Онлайн сервис помощи учащимся. Цены в 2-3 раза ниже! 200 руб. на 1-й заказ по коду vsesdal143982

Здравствуйте!


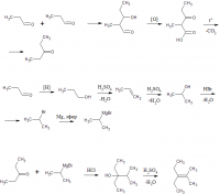
Помогите пожалуйста, уже несколько дней сижу над реакцией


Необходимо из пропаналя получить 2-метил-3-этил-2-пентен


прикрепляю некоторые свои рассуждения. но не уверена иду я правильным способом или нет


post-123504-0-62631000-1493400713_thumb.jpg

Ссылка на комментарий

спасибо) смотря на ваш предложенный вариант сделала вот так:

так же тоже можно?

 

Великолепно! Это гораздо лучше, чем мои измышления. Ведь - можете!  :cn:

Окислить спирт до кетона, не затронув альдегид кажется малореальным.

 

Дык, там - полный холокост. И спирт до кетона, и альдегид до кислоты.

 

Но это уже не важно. Решение автора темы во всех отношениях лучше, ибо - безупречно :)

  • Like 1
Ссылка на комментарий

Для публикации сообщений создайте учётную запись или авторизуйтесь

Вы должны быть пользователем, чтобы оставить комментарий

Создать аккаунт

Зарегистрируйте новый аккаунт в нашем сообществе. Это очень просто!

Регистрация нового пользователя

Войти

Уже есть аккаунт? Войти в систему.

Войти
  • Последние посетители   0 пользователей онлайн

    • Ни одного зарегистрированного пользователя не просматривает данную страницу
×
×
  • Создать...

Важная информация

Мы разместили cookie-файлы на ваше устройство, чтобы помочь сделать этот сайт лучше. Вы можете изменить свои настройки cookie-файлов, или продолжить без изменения настроек.