Перейти к содержанию
Форум химиков на XuMuK.ru.

Помогите, пожалуйста, разобраться с органическими реакциями.


Fieke_99

Рекомендуемые сообщения

🚑 Решение задач, контроши, рефераты, курсовые и другое! Онлайн сервис помощи учащимся. Цены в 2-3 раза ниже! 200 руб. на 1-й заказ по коду vsesdal143982

Скажите, пожалуйста, как выполнить реакции в первом номере?

 

Коламин алкилируется по атому азота:

HO-CH2-CH2-NH2 + C2H5-Cl ----> HO-CH2-CH2-NH-C2H5 + HCl

 

Третичный сульфоний - алкилирующий агент, с пиридинкарбоновой кислотой получится её метиловый эфир (в виде гидрохлорида):

NC5H4-COOH + [CH3-S+RR']Cl- ----> [NC5H4-COO-CH3]*HCl + R-S-R'

 

2 и 3 - какая-то биохимия, я тудой не суюсь.

 

4-й номер вы и сами можете нарисовать

а) - замкнуть гидроксил на карбоксил с образованием циклического сложного эфира (с выделением воды)

б) - замкнуть амино-группу на карбоксил с образованием циклического амида (с выделением воды)

в) - замкнуть гидроксил на альдегидную группу с образованием циклического полуацеталя (без выделения воды)

 

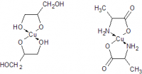
5:

post-103913-0-11111300-1518358490_thumb.png

 

Только надо понимать, что это не плоские молекулы, а тетраэдрические (вокруг меди)

Изменено пользователем yatcheh
  • Like 1
Ссылка на комментарий
Коламин алкилируется по атому азота:

HO-CH2-CH2-NH2 + C2H5-Cl ----> HO-CH2-CH2-NH-C2H5 + HCl

 

Третичный сульфоний - алкилирующий агент, с пиридинкарбоновой кислотой получится её метиловый эфир (в виде гидрохлорида):

NC5H4-COOH + [CH3-S+RR']Cl- ----> [NC5H4-COO-CH3]*HCl + R-S-R'

 

2 и 3 - какая-то биохимия, я тудой не суюсь.

 

4-й номер вы и сами можете нарисовать

а) - замкнуть гидроксил на карбоксил с образованием циклического сложного эфира (с выделением воды)

б) - замкнуть амино-группу на карбоксил с образованием циклического амида (с выделением воды)

в) - замкнуть гидроксил на альдегидную группу с образованием циклического полуацеталя (без выделения воды)

 

5:

attachicon.gifnoname01.png

 

Только надо понимать, что это не плоские молекулы, а тетраэдрические (вокруг меди)

Спасибо большое!!!!

Ссылка на комментарий

Для публикации сообщений создайте учётную запись или авторизуйтесь

Вы должны быть пользователем, чтобы оставить комментарий

Создать аккаунт

Зарегистрируйте новый аккаунт в нашем сообществе. Это очень просто!

Регистрация нового пользователя

Войти

Уже есть аккаунт? Войти в систему.

Войти
  • Последние посетители   0 пользователей онлайн

    • Ни одного зарегистрированного пользователя не просматривает данную страницу
×
×
  • Создать...

Важная информация

Мы разместили cookie-файлы на ваше устройство, чтобы помочь сделать этот сайт лучше. Вы можете изменить свои настройки cookie-файлов, или продолжить без изменения настроек.