Перейти к содержанию
Форум химиков на XuMuK.ru.

Задачки по физхимии растворы


Рекомендуемые сообщения

🚑 Решение задач, контроши, рефераты, курсовые и другое! Онлайн сервис помощи учащимся. Цены в 2-3 раза ниже! 200 руб. на 1-й заказ по коду vsesdal143982

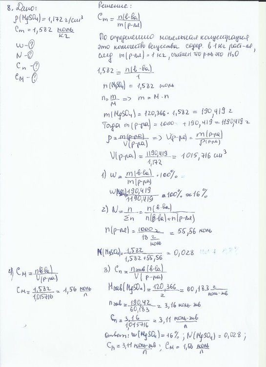
1.Плотность раствора сульфата магния 1.172 г/см3. Моляльная
концентрация 1.582 моль/кг. Определите массовую долю вещества, мольную
долю, молярную концентрацию, молярную концентрацию эквивалента.

тык у меня вопрос здесь же получается что считаем что моляльная концентрация на 1 кг растворителя и это растворитель вода?

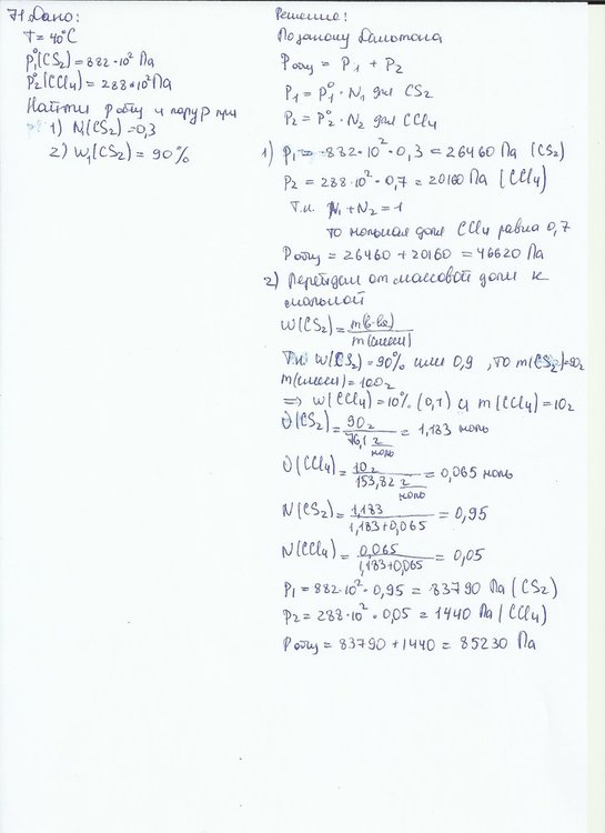
2.Сероуглерод и четыреххлористый углерод, неограниченно
растворимые друг в друге жидкости, образуют смеси близкие к идеальным.
При 40 оС давления пара сероуглерода равно 882 гПа, а четыреххлористого
углерода - 288 гПа. Вычислите при этой температуре общее и парциальное
давление насыщенных паров каждого компонента равновесных со смесью,
содержащей: 1) Сероуглерод мольной долей 0.3; 2) Сероуглерод массовой
долей 90%.

Во 2 пункте надо же просто перевести массовую долю в мольную долю и решать по такому же принципу к в 1)?

Свои решения я прикрепила  если кому-то интересно может быть

 

1.jpg

3.jpg

 

 

Изменено пользователем Ninetales
Ссылка на комментарий

Для публикации сообщений создайте учётную запись или авторизуйтесь

Вы должны быть пользователем, чтобы оставить комментарий

Создать аккаунт

Зарегистрируйте новый аккаунт в нашем сообществе. Это очень просто!

Регистрация нового пользователя

Войти

Уже есть аккаунт? Войти в систему.

Войти
  • Последние посетители   0 пользователей онлайн

    • Ни одного зарегистрированного пользователя не просматривает данную страницу
×
×
  • Создать...

Важная информация

Мы разместили cookie-файлы на ваше устройство, чтобы помочь сделать этот сайт лучше. Вы можете изменить свои настройки cookie-файлов, или продолжить без изменения настроек.