Перейти к содержанию
Форум химиков на XuMuK.ru.

строение молекулы вещества.


Рекомендуемые сообщения

🚑 Решение задач, контроши, рефераты, курсовые и другое! Онлайн сервис помощи учащимся. Цены в 2-3 раза ниже! 200 руб. на 1-й заказ по коду vsesdal143982

Помогите установить строение вещества С9Н12, которое вступает в реакцию сульфирования, нитрования; при галоидировании в условиях радикальной реакции (свет, тепло) образует третичное галогенопроизводное, а при окислении образует бензойную кислоту.

 

Заранее огромное спасибо!

Раз сульфируется и нитруется и окисляется в бензойную кислоту - значит какой-то моноалкилбензол: С6H5-CH2-CH2-CH3 или C6H5-CH(CH3)2. Из них только изопропилбензол даёт третичное галогенпроизводное в условиях радикальной реакции:

C6H5-CH(CH3)2 --(Br2, hv, -HBr)--> C6H5-CBr(CH3)2

α-бромизопропилбензол (третичный бромид)

С6H5-CH2-CH2-CH3 --(Br2, hv, -HBr)--> C6H5-CHBr-CH2-CH3

α-бромпропилбензол (вторичный бромид)

Ответ: C6H5-CH(CH3)2 - изопропилбензол (кумол)

Ссылка на комментарий

Установите строение углеводорода с молекулярной массой 82, который с аммиачным раствором оксида серебра дает осадок, а в результате гидратации дает кетон, реакцией восстановления которого по Кижнеру получен 2-метилпентан

Ссылка на комментарий

Установите строение углеводорода с молекулярной массой 82, который с аммиачным раствором оксида серебра дает осадок, а в результате гидратации дает кетон, реакцией восстановления которого по Кижнеру получен 2-метилпентан

Гидратируется в кетон - значит алкин

Даёт осадок - значит концевая тройная связь

Восстанавливается в 2-метилпентан - значит HC≡C-CH2-CH(CH3)2 (4-метилгексин-1 или изобутилацетилен)

Ссылка на комментарий
  • 5 лет спустя...

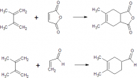
какова структурная фомула углеводорода С6Н10, образующего при озонолизе смесь диацетила и формальдегида?Напишите схему реакции этого углеводорода с малеиновым ангидридом и акролеином

Ссылка на комментарий

Для публикации сообщений создайте учётную запись или авторизуйтесь

Вы должны быть пользователем, чтобы оставить комментарий

Создать аккаунт

Зарегистрируйте новый аккаунт в нашем сообществе. Это очень просто!

Регистрация нового пользователя

Войти

Уже есть аккаунт? Войти в систему.

Войти
  • Последние посетители   0 пользователей онлайн

    • Ни одного зарегистрированного пользователя не просматривает данную страницу
×
×
  • Создать...

Важная информация

Мы разместили cookie-файлы на ваше устройство, чтобы помочь сделать этот сайт лучше. Вы можете изменить свои настройки cookie-файлов, или продолжить без изменения настроек.