Перейти к содержанию
Форум химиков на XuMuK.ru.

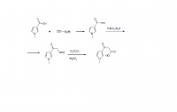
Как осуществить данную цепочку превращений?


Рекомендуемые сообщения

🚑 Решение задач, контроши, рефераты, курсовые и другое! Онлайн сервис помощи учащимся. Цены в 2-3 раза ниже! 200 руб. на 1-й заказ по коду vsesdal143982

Нет, в таком виде не осуществима. На первой стадии лучше взять этиловый/метиловый эфир, тогда с Гриньяром-Иоцичем (если взять 1 экв. его) пройдет как написано.

Насчет Кучерова. Там есть электроноакцепторная С=О, и может быть это приведет к исключению из правила, указанному даже в Вики. Так что, вероятно, будет смесь вашего и нормального кучеровского продукта, о котором говорил DX666.

Изменено пользователем Corn
  • Like 1
Ссылка на комментарий

А Кучерова тут разве можно вот так, не в кетон? Как так сделать?

По идее там будет получаться смесь кетона и альдегида, т.к. там уже есть альдольная группа, которая является электроноакцепторной группой.

Нет, в таком виде не осуществима. На первой стадии лучше взять этиловый/метиловый эфир, тогда с Гриньяром-Иоцичем (если взять 1 экв. его) пройдет как написано.

Насчет Кучерова. Там есть электроноакцепторная С=О, и может быть это приведет к исключению из правила, указанному даже в Вики. Так что, вероятно, будет смесь вашего и нормального кучеровского продукта, о котором говорил DX666.

Мысли читаете) Но меня больше интересует температура реакции Гриньяра и можно ли использовать диизопропиловый эфир?

Ссылка на комментарий

Для публикации сообщений создайте учётную запись или авторизуйтесь

Вы должны быть пользователем, чтобы оставить комментарий

Создать аккаунт

Зарегистрируйте новый аккаунт в нашем сообществе. Это очень просто!

Регистрация нового пользователя

Войти

Уже есть аккаунт? Войти в систему.

Войти
  • Последние посетители   0 пользователей онлайн

    • Ни одного зарегистрированного пользователя не просматривает данную страницу
×
×
  • Создать...

Важная информация

Мы разместили cookie-файлы на ваше устройство, чтобы помочь сделать этот сайт лучше. Вы можете изменить свои настройки cookie-файлов, или продолжить без изменения настроек.