Перейти к содержанию
Форум химиков на XuMuK.ru.

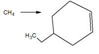
осуществите превращения


Klava21

Рекомендуемые сообщения

🚑 Решение задач, контроши, рефераты, курсовые и другое! Онлайн сервис помощи учащимся. Цены в 2-3 раза ниже! 200 руб. на 1-й заказ по коду vsesdal143982

помогите пожалуйста

2CH4---->CH*CH+3H2 (1500 гр.)

CH*CH+H2O----->CH3-COH (Hg(2+), H2SO4)

CH3-COH+H2---->CH3-CH2-OH (Cu, 400 гр.)

2CH3-CH2-OH----->CH2=CH-CH=CH2+H2+2H2O (ZnO, Al2O3, 420 гр.)

CH2=CH-CH=CH2+H2----->CH3-CH2-CH=CH2 (Pt, PbO, 400 гр.)

CH2=CH-CH=CH2+CH3-CH2-CH=CH2----->CH3-CH2-(C6H9) (t, p)

Ссылка на комментарий

Для публикации сообщений создайте учётную запись или авторизуйтесь

Вы должны быть пользователем, чтобы оставить комментарий

Создать аккаунт

Зарегистрируйте новый аккаунт в нашем сообществе. Это очень просто!

Регистрация нового пользователя

Войти

Уже есть аккаунт? Войти в систему.

Войти
  • Последние посетители   0 пользователей онлайн

    • Ни одного зарегистрированного пользователя не просматривает данную страницу
×
×
  • Создать...

Важная информация

Мы разместили cookie-файлы на ваше устройство, чтобы помочь сделать этот сайт лучше. Вы можете изменить свои настройки cookie-файлов, или продолжить без изменения настроек.