Перейти к содержанию
Форум химиков на XuMuK.ru.

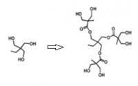
Как синтезировать макромолекулу?


Рекомендуемые сообщения

🚑 Решение задач, контроши, рефераты, курсовые и другое! Онлайн сервис помощи учащимся. Цены в 2-3 раза ниже! 200 руб. на 1-й заказ по коду vsesdal143982

А как предотвратить образование олигомеров? Защитить только те спиртовые группы, которые на периферии молекулы не получится, они мало отличаются по реакционной способности от тех, что внутри структуры. Нужно изобретать нечто необычное...

Ссылка на комментарий

Имея исходные, несложно.

А какой лучше растворитель использовать ?

 

А как предотвратить образование олигомеров? Защитить только те спиртовые группы, которые на периферии молекулы не получится, они мало отличаются по реакционной способности от тех, что внутри структуры. Нужно изобретать нечто необычное...

Вы хотите сказать , что если взять соотношение 3 к 1 , то не факт , что все выстроится по желаемому ?

Конечно , хотелось бы пинцетиком все на свое место поставить . ))))

 

Насчет необычного . Может , брать первое в избытке и , используя тот факт , что первое и второе

является кристаллическим веществом , как-то продукт на полпути к нежелаемым олигомерам изолировать ?

Ссылка на комментарий

 Попробуйте вашу кислоту превратить в ацеталь или формаль, действием альдегида, обе группы должны защитится с образованием циклического  ацеталя.

Ну а потом этерификация с азеотропной  отгонкой воды с ксилолом

Ссылка на комментарий

 Попробуйте вашу кислоту превратить в ацеталь или формаль, действием альдегида, обе группы должны защитится с образованием циклического  ацеталя.

Ну а потом этерификация с азеотропной  отгонкой воды с ксилолом

Ацеталь с открытой кислотной группой не жилец на этом свете.

Да и во время синтеза сложного эфира он гидролизуется, генерируя беспорядочный набор всяких ацеталей и эфиров.

Ссылка на комментарий

Ацеталь с открытой кислотной группой не жилец на этом свете.

Да и во время синтеза сложного эфира он гидролизуется, генерируя беспорядочный набор всяких ацеталей и эфиров.

1. Почему не жилец ? Как раз из первого компонента получают кислоту таким способом ,

что связывают две группы формальдегидом в присутствии кислого катализатора , потом все это дело

окисляют азоткой , причем циклический формаль живет и здравствует , получая ацеталь

с открытой кислотной группой , ну , а потом ОН группы возвращают на место будь на Pd

или гидролиз .

2. А вот при синтезе сложного эфира - это да , возможен гидролиз , но , с другой стороны ,

воды-то не так много будет образовываться .

 

Мысль Arkadiy в данный момент видится пока единственным решением . спасибо !

Ссылка на комментарий

Ацеталь живёт в присутствии азотной кислоты? Дайте ссылку, хочу посмотреть.

Нате реакцию на рисунке .

 

Нужно взять соль кислоты и соотв. галогенид

Как-то сложно там все . Проще , как Arkadiy написал - циклический ацеталь сразу в ксилоле получить ,

потом продолжать этерификацию , возможно , с тем же катализатором , ну , а потом гидролизнуть .

Видимо , других путей нетУ .

post-106495-0-18480000-1526039026_thumb.jpg

Ссылка на комментарий

Для публикации сообщений создайте учётную запись или авторизуйтесь

Вы должны быть пользователем, чтобы оставить комментарий

Создать аккаунт

Зарегистрируйте новый аккаунт в нашем сообществе. Это очень просто!

Регистрация нового пользователя

Войти

Уже есть аккаунт? Войти в систему.

Войти
  • Последние посетители   0 пользователей онлайн

    • Ни одного зарегистрированного пользователя не просматривает данную страницу
×
×
  • Создать...

Важная информация

Мы разместили cookie-файлы на ваше устройство, чтобы помочь сделать этот сайт лучше. Вы можете изменить свои настройки cookie-файлов, или продолжить без изменения настроек.