Перейти к содержанию
Форум химиков на XuMuK.ru.

Оксимирование кетосубстанций


Рекомендуемые сообщения

🚑 Решение задач, контроши, рефераты, курсовые и другое! Онлайн сервис помощи учащимся. Цены в 2-3 раза ниже! 200 руб. на 1-й заказ по коду vsesdal143982

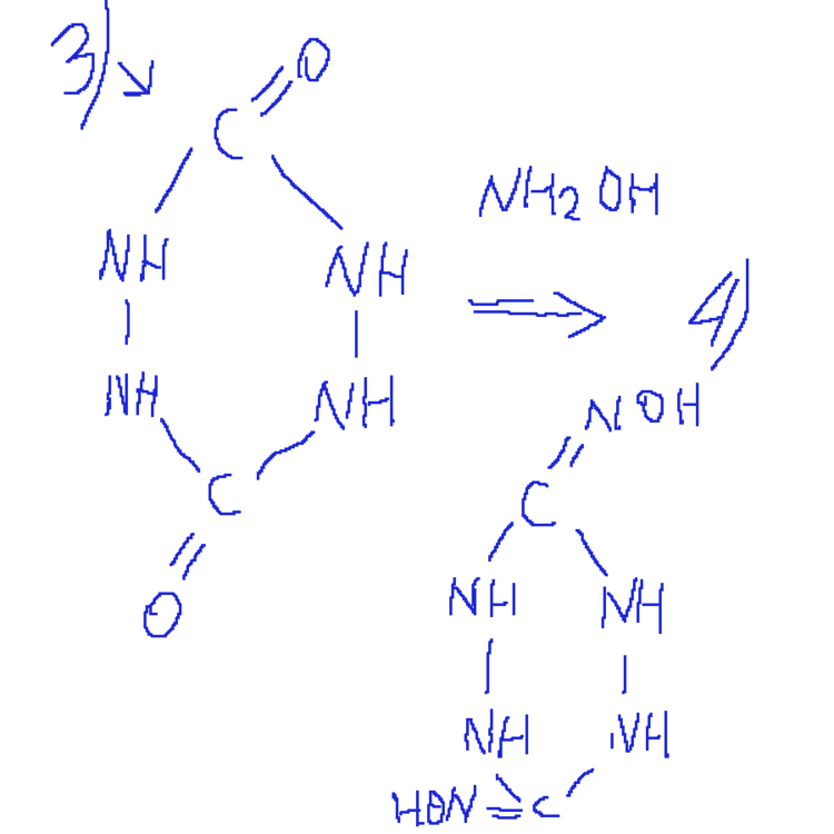
Есть вещество парауразин - 3- получается при обработке дихлормочевины аммиаком.  Имеет вроде как кетогруппу CO. Можно ли эту кетогруппу прооксимировать раствором гидроксиламина? Получится ли 4 ка?

Можно ли проксимировать N(CH3)OH агентом чтобы ввести группу  C=N-OH вместо кислорода? Если нет то как мождно кислрород у углерода поменять на =C=N-OH группу и как называется такая реакция? (5,6)

 

И наконец может ли существовать субстанция 1 как оно будет называется и даст ли в результатае оксимирования субстанцию 2. И как оно будет называться и из чего можно его получить? (1)

123.png

2332.png

3321.png

Ссылка на комментарий

Оксимируются альдегиды и кетоны. Амиды напрямую прооксимировать не удастся - слишком жёсткие условия нужны, оксим их просто не выдержит.

O=C=C(NH2)2 не существует по причине абсолютной несовместимости аминогруппы с кетеновым фрагментом.

  • Like 1
Ссылка на комментарий
30.01.2023 в 21:37, yatcheh сказал:

Оксимируются альдегиды и кетоны. Амиды напрямую прооксимировать не удастся - слишком жёсткие условия нужны, оксим их просто не выдержит.

O=C=C(NH2)2 не существует по причине абсолютной несовместимости аминогруппы с кетеновым фрагментом.

А мочевина с гидркосиламином чтонибудь даст?

Изменено пользователем BritishPetroleum
Ссылка на комментарий
30.01.2023 в 20:34, BritishPetroleum сказал:

P.s. И еще что будет при реакции мочевины и гидроксиламина??

 

В обычных условиях - ничего. При нагревании - джигурда из продуктов разложения.

Гидроксамовые кислоты известны, их получают из гидроксиламина и эфиров кислот (или хлорангидридов).

CO(NHOH)2 можно получить из диметилкарбоната и гидроксиламина.

Изменено пользователем yatcheh
Ссылка на комментарий
30.01.2023 в 21:41, yatcheh сказал:

 

В обычных условиях - ничего. При нагревании - джигурда из продуктов разложения.

Гидроксамовые кислоты известны, их получают из гидроксиламина и эфиров кислот (или хлорангидридов).

CO(NHOH)2 можно получить из диметилкарбоната и гидроксиламина.

А Хлораль прооксимируется?

СCl3CHO + NH2OH => CCl3CHNOH?

 

Изменено пользователем BritishPetroleum
Ссылка на комментарий
30.01.2023 в 20:46, BritishPetroleum сказал:

А Хлораль прооксимируется?

СCl3CHO + NH2OH => CCl3CHNOH?

 

 

Тут бабка надвое сказала. В реакции присоединения он очень активен, поэтому с гидроксиламином как минимум CCl3C(OH)-NHOH получится, а вот оксимин - вряд ли. При нагревании скорее всего пойдёт развал до хлороформа и формилгидроксамовой кислоты, если не дальше.

CCl3C(OH)NHOH => CHCl3 + HCO-NH-OH  

С алкиламинами это и происходит.

  • Like 1
Ссылка на комментарий
30.01.2023 в 22:16, yatcheh сказал:

формилгидроксамовой кислоты,

А эти гидроксамовые кислоты. Они перегонябельны? И с их помощью можно как то пнгидрид карбоновых кислот получить? Например с той же ацетилгидроксамовой кислоты

Ссылка на комментарий
30.01.2023 в 21:41, BritishPetroleum сказал:

А эти гидроксамовые кислоты. Они перегонябельны? И с их помощью можно как то пнгидрид карбоновых кислот получить? Например с той же ацетилгидроксамовой кислоты

 

Я не имел с ними дела, да и в литературе они как-то не попадались (а специально я не искал). Пишут - "относительно устойчивы". Обычно это означает, что их можно хранить в прохладном тёмном месте и оперировать с ними вне бронированного бокса с манипуляторами. Я почему-то уверен, что они не перегоняются, и не выдерживают нагревания выше 100С.

Ссылка на комментарий
В 30.01.2023 в 21:50, yatcheh сказал:

 

Я не имел с ними дела, да и в литературе они как-то не попадались (а специально я не искал). Пишут - "относительно устойчивы". Обычно это означает, что их можно хранить в прохладном тёмном месте и оперировать с ними вне бронированного бокса с манипуляторами. Я почему-то уверен, что они не перегоняются, и не выдерживают нагревания выше 100С.

http://www.himreakt.ru/4304/.  Написано что кипит при 231 градусе. Интересная шняга у губена и то особо свойств их нет

Ссылка на комментарий

Для публикации сообщений создайте учётную запись или авторизуйтесь

Вы должны быть пользователем, чтобы оставить комментарий

Создать аккаунт

Зарегистрируйте новый аккаунт в нашем сообществе. Это очень просто!

Регистрация нового пользователя

Войти

Уже есть аккаунт? Войти в систему.

Войти
  • Последние посетители   0 пользователей онлайн

    • Ни одного зарегистрированного пользователя не просматривает данную страницу
×
×
  • Создать...

Важная информация

Мы разместили cookie-файлы на ваше устройство, чтобы помочь сделать этот сайт лучше. Вы можете изменить свои настройки cookie-файлов, или продолжить без изменения настроек.