Перейти к содержанию
Форум химиков на XuMuK.ru.

Задача: Краситель фуксин


Рекомендуемые сообщения

🚑 Решение задач, контроши, рефераты, курсовые и другое! Онлайн сервис помощи учащимся. Цены в 2-3 раза ниже! 200 руб. на 1-й заказ по коду vsesdal143982

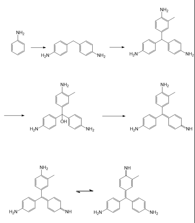
Краситель фуксин можно получить следующим образом: анилин (2 моль) конденсируют с формальдегидом. Полученный 4,4¢-диаминодифенилметан окисляют совместно с о-толуидином. Образующееся лейкооснование фуксина при дальнейшем окислении превращается в карбинольное основание (бесцветное). Окраска появляется при добавлении соляной кислоты (1 моль). Составьте уравнения перечисленных реакций и предельные структуры катиона красителя.

Ссылка на комментарий

Для публикации сообщений создайте учётную запись или авторизуйтесь

Вы должны быть пользователем, чтобы оставить комментарий

Создать аккаунт

Зарегистрируйте новый аккаунт в нашем сообществе. Это очень просто!

Регистрация нового пользователя

Войти

Уже есть аккаунт? Войти в систему.

Войти
  • Последние посетители   0 пользователей онлайн

    • Ни одного зарегистрированного пользователя не просматривает данную страницу
×
×
  • Создать...

Важная информация

Мы разместили cookie-файлы на ваше устройство, чтобы помочь сделать этот сайт лучше. Вы можете изменить свои настройки cookie-файлов, или продолжить без изменения настроек.