Перейти к содержанию
Форум химиков

Дезоксилирование сахаров


dmr

Рекомендуемые сообщения

🚑 Решение задач, контроши, рефераты, курсовые и другое! Онлайн сервис помощи учащимся. Цены в 2-3 раза ниже! 200 руб. на 1-й заказ по коду vsesdal143982
В 04.08.2024 в 04:01, dmr сказал:

А без тозилирования сахара с никелем ренея или с чем-то ещё не восстанавливаются до бескислородного углеводорода?

И во что они могут восстановиться без тозилирования, с реагентами типа никеля ренея , или лаг

А по какой причине ацеталирование, будет идти только по задуманным вами гидроксилам, по какой причине будет такая селективность? 

Почему не куда попало,  не в любых гидроксилы?

Понятно что в домашних условиях в бытовых условиях описанные вами алгоритм сделать нереально но просто чисто теоретически интересно почему именно так

 

Спирт тяжело восстановить, в жёстких условиях всё повалится, а тозилаты легко гидрируются до алкана (в том числе и ЛАГом, который спирты не гидрирует).

Кеталирование циклического 1,2-диола (с образованием циклического пятичленного кеталя) идёт только с цис-изомером. Гидроксилы в 1,3-положении кеталя так же не дают. В молекуле арабинозы в виде пиранозного шестичленного цикла только 2,3-гидроксилы находятя в цис-конфигурации.

Ссылка на комментарий

А 

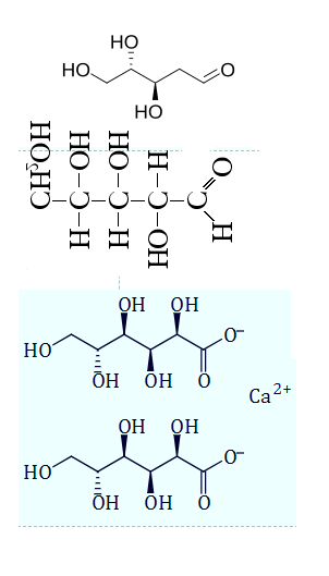
В 03.08.2024 в 00:12, yatcheh сказал:

арабинозу

из глюконовой кислоты получить (доступен глюконат кальция) декарбоксилированием. В способе (https://yandex.ru/patents/doc/RU2686850C2_20190506 ) декарбоксилировали D-глюконовую кислоту с образованием D-арабинозы с выходом по току 100%. 

dmr, Вы же с электролитическими штуками всякими имели дело

 

В 04.08.2024 в 05:01, dmr сказал:

в домашних условиях

 

? Я бы, вообще, саму арабинозу попробовал) Посмотрите:

image.png.83a73c5d79a2063985b995b75d2a091d.png

 

 

Какой именно изомер работает лучше не ясно же?

Ссылка на комментарий

Для публикации сообщений создайте учётную запись или авторизуйтесь

Вы должны быть пользователем, чтобы оставить комментарий

Создать аккаунт

Зарегистрируйте новый аккаунт в нашем сообществе. Это очень просто!

Регистрация нового пользователя

Войти

Уже есть аккаунт? Войти в систему.

Войти
  • Последние посетители   0 пользователей онлайн

    • Ни одного зарегистрированного пользователя не просматривает данную страницу
×
×
  • Создать...

Важная информация

Мы разместили cookie-файлы на ваше устройство, чтобы помочь сделать этот сайт лучше. Вы можете изменить свои настройки cookie-файлов, или продолжить без изменения настроек.