Перейти к содержанию
Форум химиков на XuMuK.ru.

Определить объем этилена


Рекомендуемые сообщения

🚑 Решение задач, контроши, рефераты, курсовые и другое! Онлайн сервис помощи учащимся. Цены в 2-3 раза ниже! 200 руб. на 1-й заказ по коду vsesdal143982

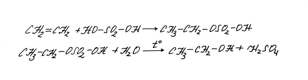
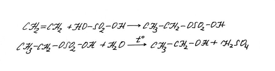
Добрый день! Решаю такую задачу: Составили газовую смесь, взяв некоторые объемы этана и этилена. Для отделения последнего смесь пропустили через конц. серную кислоту. В результате образования этилсерной кислоты масса поглотителя увеличилась на 1,4 г. Определите начальный объем при н.у. (л) этилена. Ответ должен получиться: 1,12. Я написала уравнения реакций, а дальше застряла. Помогите, пожалуйста, разобраться, как решить. 

IMG_20250513_182731.jpg

Ссылка на комментарий
В 13.05.2025 в 15:32, BauVictoria сказал:

Ответ должен получиться: 1,12. Я написала уравнения реакций, а дальше застряла. Помогите, пожалуйста, разобраться, как решить.

Берёте прибавку по массе (1,4 г.) и делите на молярную массу этилена (думаю, вы её знаете), получаете количество этилена в молях, далее его умножаете на стандартный объём моля для газов при н. у. (также вам должен быть известен) и получаете ваш результат - 1,12.

Ссылка на комментарий

Для публикации сообщений создайте учётную запись или авторизуйтесь

Вы должны быть пользователем, чтобы оставить комментарий

Создать аккаунт

Зарегистрируйте новый аккаунт в нашем сообществе. Это очень просто!

Регистрация нового пользователя

Войти

Уже есть аккаунт? Войти в систему.

Войти
  • Последние посетители   0 пользователей онлайн

    • Ни одного зарегистрированного пользователя не просматривает данную страницу
×
×
  • Создать...

Важная информация

Мы разместили cookie-файлы на ваше устройство, чтобы помочь сделать этот сайт лучше. Вы можете изменить свои настройки cookie-файлов, или продолжить без изменения настроек.