Перейти к содержанию
Форум химиков на XuMuK.ru.

Определение мезомерного и индуктивного эффекта


Bluefire

Рекомендуемые сообщения

🚑 Решение задач, контроши, рефераты, курсовые и другое! Онлайн сервис помощи учащимся. Цены в 2-3 раза ниже! 200 руб. на 1-й заказ по коду vsesdal143982

Здравствуйте, не поняла тему про эффекты,а тест писать как - то надо. Попробовала сама в общем вещество ацетофенон.

Я расставила стрелки вот так 9aa5b499ae45.png . - М эффект карбоксильной группы и дальше по кольцу. если не правильно объясните пожалуйста почему и как правильно. и еще как правильно обозначить мезомерный и индуктивный эффекты.

Так же надо нарисовать и определить с каким знаком будут эффекты для соединений : пропеналь,метоксиэтан,п-крезол,третбутилбензол,3-хлорпропановая кислота,бензальдегид. Можете объяснить хотя б что и как правильно делается, я сама всё решу ) В данном случае первостепенно объяснение, а не решение.

Ссылка на комментарий

Здравствуйте, не поняла тему про эффекты,а тест писать как - то надо. Попробовала сама в общем вещество ацетофенон.

Я расставила стрелки вот так 9aa5b499ae45.png . - М эффект карбоксильной группы и дальше по кольцу. если не правильно объясните пожалуйста почему и как правильно. и еще как правильно обозначить мезомерный и индуктивный эффекты.

post-42262-0-43718300-1318160740_thumb.png

Ссылка на комментарий

Ефим, мне от Вашей картинки не знаю почему но понятней не стало.

Пример правильного расставления стрелок. А теория - это в книжках. Предлагаете переписать и выложить для Вас пару глав из учебника?
Ссылка на комментарий

Пример правильного расставления стрелок. А теория - это в книжках. Предлагаете переписать и выложить для Вас пару глав из учебника?

предлагаю объяснить почему на всех картинках в разную сторону стрелочки и как будет выглядеть конечная картинка раз уж на то пошло. и почему именно так,а не так как у меня. Попросила же объяснить...

Ссылка на комментарий

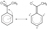
конечной не будет - будет вот такой круговорот :)

p-электроны двойной свзяи смещаются в сторону атома карбона, связанного с О, плюс ещё электроны того же атома С переходят к атому О.

Получается отриц заряд на атоме О, двойная связь с бензольным кольцом и положительный заряд на месте бывшей двойной связи. Ну а дальше электроны двойных связей движутся к положительному заряду, создавая ещё один пол. заряд. И так, пока электроны О не перейдут в последнее место бывшей двойной связи. Надеюсь, правильно и понятно я объяснл. :)

Ссылка на комментарий

предлагаю объяснить почему на всех картинках в разную сторону стрелочки и как будет выглядеть конечная картинка раз уж на то пошло. и почему именно так,а не так как у меня. Попросила же объяснить...

Стрелочки обозначают перемещение электронных пар, образующих π-связи. Пара, образующая C=O связь, перемещается к кислороду, который становится анионом. Пара, образующая С=С связь в кольце, перемещается на C-С связь, которая становится двойной, а углерод получает положительный заряд. Далее этот заряд гуляет по всему кольцу при перемещении электронных пар от связи к связи.

Конечная картинка (если её можно назвать конечной) будет выглядеть примерно так:

81354.gif

Ссылка на комментарий

FilIgor , мой тон и не повышался.

KRAB-XIMIK и Ефим спасибо, тоесть будит всего одна стрелочка указывающая на кислород ? верно?

Изменено пользователем Bluefire
Ссылка на комментарий

FilIgor , мой тон и не повышался.

KRAB-XIMIK и Ефим спасибо, тоесть будит всего одна стрелочка указывающая на кислород ? верно?

Две как минимум. Одна на кислород, другая - от пи-системы кольца на С-С связь :

post-42262-0-06390000-1318166159_thumb.png

Ссылка на комментарий

Для публикации сообщений создайте учётную запись или авторизуйтесь

Вы должны быть пользователем, чтобы оставить комментарий

Создать аккаунт

Зарегистрируйте новый аккаунт в нашем сообществе. Это очень просто!

Регистрация нового пользователя

Войти

Уже есть аккаунт? Войти в систему.

Войти
  • Последние посетители   0 пользователей онлайн

    • Ни одного зарегистрированного пользователя не просматривает данную страницу
×
×
  • Создать...

Важная информация

Мы разместили cookie-файлы на ваше устройство, чтобы помочь сделать этот сайт лучше. Вы можете изменить свои настройки cookie-файлов, или продолжить без изменения настроек.