Перейти к содержанию
Форум химиков на XuMuK.ru.

Банально: анальгин и гидроперит


gragged

Рекомендуемые сообщения

🚑 Решение задач, контроши, рефераты, курсовые и другое! Онлайн сервис помощи учащимся. Цены в 2-3 раза ниже! 200 руб. на 1-й заказ по коду vsesdal143982

Здравствуйте. Спор и все такое.... В общем, кто-нибудь знает что за реакция идет у метамизола натрия с гидроперитом?

 

Чтобы не было дыму, решили в водичке разбавить гидроперита и к нему подкинуть тертого анальгина. Погрели чуток, пошла реакция и получилась смесь темновишневая. Точнее раствор.

Отлили малость раствора в пробирочку и сыпанули туда соды. Раствор посветлел заметно и стал светло-оранжевый. Реакция бурная.

Отлили в другую пробирочку. Долили уксуса, ничего не произошло. Сыпанули соды, пошла реакция. По началу нейтрализовался уксус видимо (запах пропал). Смесь стала темнеть и дотемнела темно-бардового цвета (темнее первоначального продукта). Затем начала светлеть и стала светло-оранжевой.

Идет ли разрыв N-N связи в пиразолоновом цикле метамизола?

 

Фотка прилагается (большой стакан - первоначальный продукт, пробирочка - то что после гидрокарбоната. Кач-во плохое, ну и все опыты делались на кухне в 3 утра ^^):

post-15054-1233447068_thumb.jpg

Ссылка на комментарий
Здравствуйте. Спор и все такое.... В общем, кто-нибудь знает что за реакция идет у метамизола натрия с гидроперитом?

 

Чтобы не было дыму, решили в водичке разбавить гидроперита и к нему подкинуть тертого анальгина. Погрели чуток, пошла реакция и получилась смесь темновишневая. Точнее раствор.

Отлили малость раствора в пробирочку и сыпанули туда соды. Раствор посветлел заметно и стал светло-оранжевый. Реакция бурная.

Отлили в другую пробирочку. Долили уксуса, ничего не произошло. Сыпанули соды, пошла реакция. По началу нейтрализовался уксус видимо (запах пропал). Смесь стала темнеть и дотемнела темно-бардового цвета (темнее первоначального продукта). Затем начала светлеть и стала светло-оранжевой.

Идет ли разрыв N-N связи в пиразолоновом цикле метамизола?

 

Фотка прилагается (большой стакан - первоначальный продукт, пробирочка - то что после гидрокарбоната. Кач-во плохое, ну и все опыты делались на кухне в 3 утра ^^):

 

Судя по тому, что продукты реакции растворяются в воде, это могут быть соли карбоновых кислот,

 

Изменение цвета при добавлении соды свидетельствует о внутримолекулярных перегрупировках у одного из продуктов при изменении pH

 

Свяь N-N скорее всего действительно рвется, ибо рядом есть карбонильнаю группа.

Ссылка на комментарий

Неоднозначно тут. Если был бы кондово замещенный пиразолон - действительно однозначное расщепление пиразолонового ядра. А здесь... не стоит забывать и про N-метилированную аминогруппу :lol: .

Ссылка на комментарий
  • 1 год спустя...
  • 1 год спустя...

Тут 2 продукта реакции: смолообразное вещество и дым. Желательно разбираться что представляет собой каждое из них по отдельности. Что касается дыма: это газ или взвесь? Скорее всего это углекислый газ и/или азотметан и взвесь какого-то органического соединения. В молекуле метамизола есть СО группа и 2 группы азотметила, но ни одна из них не выделится в виде газа без разрушения пиразолонового ядра. Поэтому выделяется ещё и нитробензол. Вполне возможно, что сильный разогрев в конце инкубации идёт за счёт окисления нитробензола. В пользу выделения нитробензола говорит то, что связь N-N не может быть очень прочной. После этого от пиразолонового ядра останется трёчленный цикл, который не может быть прочным. Как дальше идёт реакция трудно проанализировать. Интересно, взвесь и смолообразное вещество это одно и то же?

Ссылка на комментарий

В другой ветке было:

Реакция анальгина с пероксидом водорода сложна и неоднозначна. Судя по всему, реакция идет сразу по двум местам: по сульфогруппе и метиламиниловой группировке. Соответственно, по сульфогруппе может образоываться сероводород, а также вода и кислород

-SO3 + 2H2O2 = H2S + H2O + 3O2.

Образующаяся вода приводит к частичному гидролизу по связи С - N и отщепляется метиламин, и тоже образуется вода и кислород:

-N(CH3) + H2O2 = H2NCH3 + H2O +1/2 O2

И наконец становится понятным, что за дым получается в этой реакции:

Сероводород взаимодействует с метиламином и получается гидросульфид метиламмония:

H2NCH3 + H2S = [H3NCH3]HS.

И взвесь его мелких кристалликов в воздухе и создает визуальное ощущение "дыма".

При выделении из молекулы бензольного кольца будет образовываться нитробензол а не анилин, хотя возможна реакция C6H5NO2 + 3H2 = C6H5NH2 + 2H2O, но там рядом нет атомов водорода, а с водой он реагировать не будет.

Изменено пользователем Jgun
Ссылка на комментарий
  • 2 года спустя...

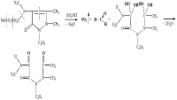
Нашёл такое описание механизма реакции. Сказано, что интермедиат с четырьмя гидроксильными группами синий, и быстро переходит в конечное соединение красного цвета. Приводится как качественная реакция. А нитробензол, кстати, не красный.

post-112086-0-29276100-1429800701_thumb.png

Ссылка на комментарий

А почему в схеме соляная кислота? Откуда она в реагентах?

 

Я так понимаю у вас есть конечный продукт реакции? Вот и попробуйте доказать или опровергнуть конечный продукт реакции. Можно попробовать гидролизовать этот диацилгидразин и идентифицировать уксусную кислоту, щавелевую кислоту, метиламин и метилфенилгидразин.

 

Аспирин окисляется еще трихлоридом железа.

 

Вопрос об окраске тоже интересный. Так как в нарисованном продукте не наблюдается хромофорных групп. Возможно происходит какая-то реакция с формальдегидом по ароматическому ядру с образованием красителя.

Изменено пользователем chemister2010
Ссылка на комментарий

Для публикации сообщений создайте учётную запись или авторизуйтесь

Вы должны быть пользователем, чтобы оставить комментарий

Создать аккаунт

Зарегистрируйте новый аккаунт в нашем сообществе. Это очень просто!

Регистрация нового пользователя

Войти

Уже есть аккаунт? Войти в систему.

Войти
  • Последние посетители   0 пользователей онлайн

    • Ни одного зарегистрированного пользователя не просматривает данную страницу
×
×
  • Создать...

Важная информация

Мы разместили cookie-файлы на ваше устройство, чтобы помочь сделать этот сайт лучше. Вы можете изменить свои настройки cookie-файлов, или продолжить без изменения настроек.