Перейти к содержанию
Форум химиков на XuMuK.ru.

Органическая химия формула


Verro

Рекомендуемые сообщения

🚑 Решение задач, контроши, рефераты, курсовые и другое! Онлайн сервис помощи учащимся. Цены в 2-3 раза ниже! 200 руб. на 1-й заказ по коду vsesdal143982

Вот, так? Не пойму.

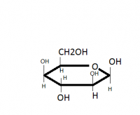
это бета глюкоза-эпимер альфа глюкозы.

Еще раз повторюсь.

Гидроксил гликозидный(у 1-го атома)смотрит вверх,значит бета.

Если вниза-альфа.

У Вас бета

Изменено пользователем Кастамстрович
Ссылка на комментарий

это бета глюкоза-эпимер альфа глюкозы.

Еще раз повторюсь.

Гидроксил гликозидный(у 1-го атома)смотрит вверх,значит бета.

Если вниза-альфа.

У Вас бета

Для гликозидных эпимеров употребляют более узкий термин - "аномеры".

И всё зависит от соотношения конфигураций гликозидного атома углерода, и последнего (в этом случае - пятого). Если они совпадают - это альфа-форма, в противном случае - бета.

Нарисована действительно бета-форма, но только не L-глюкозы, а D-идозы.

Ссылка на комментарий

Для гликозидных эпимеров употребляют более узкий термин - "аномеры".

И всё зависит от соотношения конфигураций гликозидного атома углерода, и последнего (в этом случае - пятого). Если они совпадают - это альфа-форма, в противном случае - бета.

Нарисована действительно бета-форма, но только не L-глюкозы, а D-идозы.

Почему почти всегда если глюкозидный гидроксил вверх-это бета форма?если вниз-альфа?

Почему такое определение пишется в куче книг?

Изменено пользователем Кастамстрович
Ссылка на комментарий

Почему почти всегда если глюкозидный гидроксил вверх-это бета форма?если вниз-альфа?

Почему такое определение пишется в куче книг?

Потому что это просто. Но примитивно.

Обычно циклическую форму сахаров рисуют так, что атом, отвечающий за принадлежность сахара к D или L-ряду (тот самый "последний" атом) оказывается во вполне определённом положении (гидроксиметильный "хвост" - сверху). Поэтому

почти всегда если глюкозидный гидроксил вверх-это бета форма, если вниз-альфа
Изменено пользователем yatcheh
  • Like 1
Ссылка на комментарий

Для публикации сообщений создайте учётную запись или авторизуйтесь

Вы должны быть пользователем, чтобы оставить комментарий

Создать аккаунт

Зарегистрируйте новый аккаунт в нашем сообществе. Это очень просто!

Регистрация нового пользователя

Войти

Уже есть аккаунт? Войти в систему.

Войти
  • Последние посетители   0 пользователей онлайн

    • Ни одного зарегистрированного пользователя не просматривает данную страницу
×
×
  • Создать...

Важная информация

Мы разместили cookie-файлы на ваше устройство, чтобы помочь сделать этот сайт лучше. Вы можете изменить свои настройки cookie-файлов, или продолжить без изменения настроек.