Перейти к содержанию
Форум химиков на XuMuK.ru.

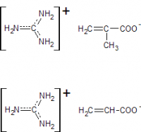
составьте формулы акрилата гуанидина и


Рекомендуемые сообщения

🚑 Решение задач, контроши, рефераты, курсовые и другое! Онлайн сервис помощи учащимся. Цены в 2-3 раза ниже! 200 руб. на 1-й заказ по коду vsesdal143982

у углерода может быть более четырех связей?

 

А где там "более 4-х связей"? Пунктирная линия означает 1/3 связи. Там делокализованный заряд. Гуанидиний - симметричный плоский катион.

Собственно, именно из-за делокализации заряда гуанидин, в отличие от прочих аминов, проявляет свойства сильного основания. 

Изменено пользователем yatcheh
  • Like 1
Ссылка на комментарий

А где там "более 4-х связей"? Пунктирная линия означает 1/3 связи. Там делокализованный заряд. Гуанидиний - симметричный плоский катион.

Собственно, именно из-за делокализации заряда гуанидин, в отличие от прочих аминов, проявляет свойства сильного основания.

Понял, спасибо, я думал, что пунктир- это 0,5 связи
Ссылка на комментарий

Для публикации сообщений создайте учётную запись или авторизуйтесь

Вы должны быть пользователем, чтобы оставить комментарий

Создать аккаунт

Зарегистрируйте новый аккаунт в нашем сообществе. Это очень просто!

Регистрация нового пользователя

Войти

Уже есть аккаунт? Войти в систему.

Войти
  • Последние посетители   0 пользователей онлайн

    • Ни одного зарегистрированного пользователя не просматривает данную страницу
×
×
  • Создать...

Важная информация

Мы разместили cookie-файлы на ваше устройство, чтобы помочь сделать этот сайт лучше. Вы можете изменить свои настройки cookie-файлов, или продолжить без изменения настроек.