Перейти к содержанию
Форум химиков на XuMuK.ru.

Структурно цепочка органических реакций


Рекомендуемые сообщения

🚑 Решение задач, контроши, рефераты, курсовые и другое! Онлайн сервис помощи учащимся. Цены в 2-3 раза ниже! 200 руб. на 1-й заказ по коду vsesdal143982

11,1 мл (17,8 ммоль) 1,6М н-бутиллития в гексане добавили порциями к 20 мл раствора 2,5 мл (17,8 ммоль) диизопропиламина в тетрагидрофуране при перемешивании в условиях охлаждения смесью сухой лед/ацетон. Через 15 мин после завершения добавления к смеси порциями при -50оС или ниже добавили 30 мл раствора 4,13 г (17 ммоль) сложного эфира, полученного в вышеуказанной стадии 4, в тетрагидрофуране. Смесь перемешивали при такой же температуре в течение 10 мин и к смеси порциями добавили 100 мл раствора 3,55 г (17 ммоль) нитроолефина в тетрагидрофуране. Смесь перемешивали в течение 30 мин и к реакционной смеси добавили воду. Полученную смесь подкисляли 2н. раствором соляной кислоты и экстрагировали метиленхлоридом. Фазу метиленхлорида промывали соляным раствором и сушили над безводным сульфатом магния.  Эфир полученный в стадии 4  Этил-3-хлор-2-метоксифенилпропионат. Спасибо за помощь.

Ссылка на комментарий

11,1 мл (17,8 ммоль) 1,6М н-бутиллития в гексане добавили порциями к 20 мл раствора 2,5 мл (17,8 ммоль) диизопропиламина в тетрагидрофуране при перемешивании в условиях охлаждения смесью сухой лед/ацетон. Через 15 мин после завершения добавления к смеси порциями при -50оС или ниже добавили 30 мл раствора 4,13 г (17 ммоль) сложного эфира, полученного в вышеуказанной стадии 4, в тетрагидрофуране. Смесь перемешивали при такой же температуре в течение 10 мин и к смеси порциями добавили 100 мл раствора 3,55 г (17 ммоль) нитроолефина в тетрагидрофуране. Смесь перемешивали в течение 30 мин и к реакционной смеси добавили воду. Полученную смесь подкисляли 2н. раствором соляной кислоты и экстрагировали метиленхлоридом. Фазу метиленхлорида промывали соляным раствором и сушили над безводным сульфатом магния.  Эфир полученный в стадии 4  Этил-3-хлор-2-метоксифенилпропионат. Спасибо за помощььь.

 

post-103913-0-83574600-1428602600_thumb.png

 

Как-то так, если я не нагнал пурги  :ds:

Ссылка на комментарий

attachicon.gifопять08.png

 

Как-то так, если я не нагнал пурги  :ds:

Спасибо, там эфир немного другой, но механизм я понял)  Я так понял, что реакция не пойдёт, если убрать 3-хлор-2-метоксифенил?

Изменено пользователем Олег74
Ссылка на комментарий

Спасибо, там эфир немного другой, но механизм я понял)  Я так понял, что реакция не пойдёт, если убрать 3-хлор-2-метоксифенил?

 

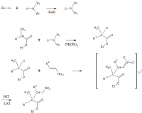
3-хлор-2-метоксифенил - это для меня просто радикал. Он может быть, может не быть. Суть в том, что диизопропиламид лития - сильное основание, с заторможенной нуклеофильностью. Роль его здесь может сводиться только к катализу конденсации сложного эфира с нитроолефином. Охлаждение до -50С предотвращает сложноэфирную самоконденсацию.

Если хотите, то в общем виде это так будет:

post-103913-0-10938500-1428608499_thumb.png

 

Такое моё ИМХО :)

Ссылка на комментарий

3-хлор-2-метоксифенил - это для меня просто радикал. Он может быть, может не быть. Суть в том, что диизопропиламид лития - сильное основание, с заторможенной нуклеофильностью. Роль его здесь может сводиться только к катализу конденсации сложного эфира с нитроолефином. Охлаждение до -50С предотвращает сложноэфирную самоконденсацию.

Если хотите, то в общем виде это так будет:

attachicon.gifопять09.png

 

Такое моё ИМХО :)

Теперь точно ясно, спасибо)

Ссылка на комментарий

Для публикации сообщений создайте учётную запись или авторизуйтесь

Вы должны быть пользователем, чтобы оставить комментарий

Создать аккаунт

Зарегистрируйте новый аккаунт в нашем сообществе. Это очень просто!

Регистрация нового пользователя

Войти

Уже есть аккаунт? Войти в систему.

Войти
  • Последние посетители   0 пользователей онлайн

    • Ни одного зарегистрированного пользователя не просматривает данную страницу
×
×
  • Создать...

Важная информация

Мы разместили cookie-файлы на ваше устройство, чтобы помочь сделать этот сайт лучше. Вы можете изменить свои настройки cookie-файлов, или продолжить без изменения настроек.