Перейти к содержанию
Форум химиков на XuMuK.ru.

равновесие в водных растворах кислот и оснований.


neutron
Перейти к решению Решено M_GM,

Рекомендуемые сообщения

🚑 Решение задач, контроши, рефераты, курсовые и другое! Онлайн сервис помощи учащимся. Цены в 2-3 раза ниже! 200 руб. на 1-й заказ по коду vsesdal143982

Не получаются задачи. Нужна помощь!

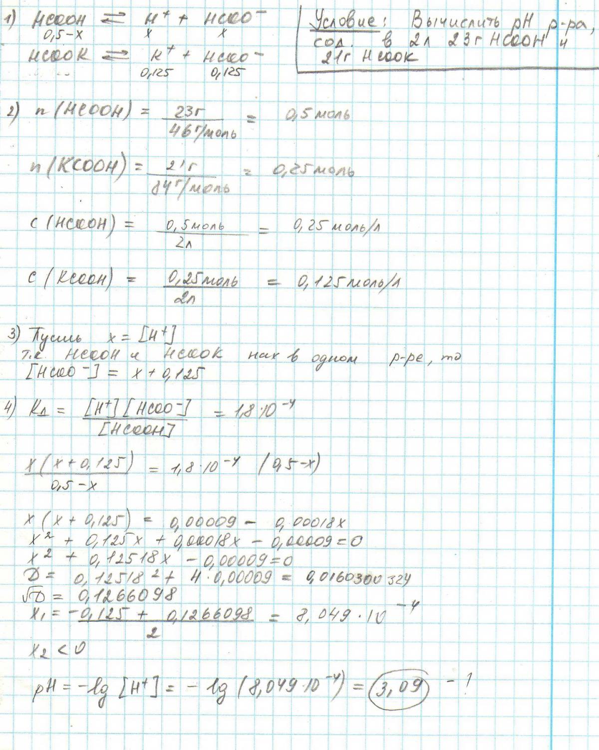
Решение задачи на фото, не сходится с ответом (ответ:pH=3,45)

И еще одна задача: Натолкните на решение, не знаю, как решить:

Вычислить pH и степень основной диссоциации аниона соли, если к 100 мл 0,2М НСООН прибавили 100мл 0,2М КОН.

БЛАГОДАРЮ ЗА ОТВЕТЫ!

post-110997-0-21449300-1456068687_thumb.jpg

Ссылка на комментарий
  • Решение

Решение верное, скорее всего опечатка в ответе.

2. При смешении растворов образуется раствор соли с концентрацией 0,1 моль

Что значит фраза "степень основной диссоциации аниона" понять трудно,
т.к. анион не диссоциирует, т.е. ни на что не распадается.

рН раствора будет отлично от 7 вследствие гидролиза,
так что предполагалось, видимо, нахождение К и степени гидролиза соли 

Ссылка на комментарий

Для публикации сообщений создайте учётную запись или авторизуйтесь

Вы должны быть пользователем, чтобы оставить комментарий

Создать аккаунт

Зарегистрируйте новый аккаунт в нашем сообществе. Это очень просто!

Регистрация нового пользователя

Войти

Уже есть аккаунт? Войти в систему.

Войти
  • Последние посетители   0 пользователей онлайн

    • Ни одного зарегистрированного пользователя не просматривает данную страницу
×
×
  • Создать...

Важная информация

Мы разместили cookie-файлы на ваше устройство, чтобы помочь сделать этот сайт лучше. Вы можете изменить свои настройки cookie-файлов, или продолжить без изменения настроек.