Перейти к содержанию
Форум химиков на XuMuK.ru.

вероятность прохождения реакции


Benny Hill

Рекомендуемые сообщения

🚑 Решение задач, контроши, рефераты, курсовые и другое! Онлайн сервис помощи учащимся. Цены в 2-3 раза ниже! 200 руб. на 1-й заказ по коду vsesdal143982

Здравствуйте!

Вопрос такой: есть соединение тетрасахарид сиалил-льюис Х (Sialyl-Lewis X). В условиях хранения указано - минус 20 Цельсия.

512px-Sialyl_lewis_x.svg.png

 

Насколько оно реакционноспособно? Какая из функциональных групп - Амидная, карбоксильная, гидроксигруппа - наиболее реакционноспособна? Синтез надо будет проводить на холоду (ибо темпреатура хранения минус 20), в атмосфере инертного газа?

Например, возможно взаимодействие NH-группы этого соединения с карбоновой кислотой по данному механизму:

  640px-Carbodiimide_Amide_Coupling_Scheme

 

Ссылка на комментарий

ваше вещество относится к восстанавливающим сахарам, в районе крайнего-правого гидроксила на вашей формуле - полуацеталь способный реагировать как альдегид. он же способен и с аминогруппой реагировать.

аминогруппы в вашей формуле я не углядел, есть две амидных, вы хотите перевести их в имиды? - сомнительно. или ваша последняя строчка: "...NH-группы этого соединения с карбоновой кислотой..." несет очепятку?

Ссылка на комментарий

ваше вещество относится к восстанавливающим сахарам, в районе крайнего-правого гидроксила на вашей формуле - полуацеталь способный реагировать как альдегид. он же способен и с аминогруппой реагировать.

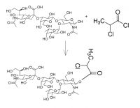
А вот эта гидроксильная группа - как она поведет себя по отношению к хлорангидридам?

В этом случае 

post-110766-0-43707800-1479895166_thumb.png

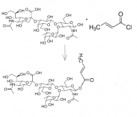
и в этом

 post-110766-0-75668700-1479895167_thumb.png

 

pinkylee сказал(а) 23 Ноя 2016 - 14:07:

"аминогруппы в вашей формуле я не углядел, есть две амидных, вы хотите перевести их в имиды? - сомнительно. или ваша последняя строчка: "...NH-группы этого соединения с карбоновой кислотой..." несет очепятку?"

 

Имелось в виду следующее: например, уксусную кислоту, активируем карбодиимидом, а потом уже вводим Сиалил Льюис для взаимодействия его NH-групп по схеме (На схеме обозначена как H2N-R2):

post-110766-0-59260300-1479895941_thumb.png

Ссылка на комментарий

А вот эта гидроксильная группа - как она поведет себя по отношению к хлорангидридам?

В этом случае 

attachicon.gifUntitvled.png

и в этом

 attachicon.gifUntitled11111.png

 

pinkylee сказал(а) 23 Ноя 2016 - 14:07:

"аминогруппы в вашей формуле я не углядел, есть две амидных, вы хотите перевести их в имиды? - сомнительно. или ваша последняя строчка: "...NH-группы этого соединения с карбоновой кислотой..." несет очепятку?"

 

Имелось в виду следующее: например, уксусную кислоту, активируем карбодиимидом, а потом уже вводим Сиалил Льюис для взаимодействия его NH-групп по схеме (На схеме обозначена как H2N-R2):

 

При таком количестве гидроксилов до ацилирования амидной группы дело не дойдёт. Да и вообще, амиды ацилируются только в присутствии оснований, амидный азот - нуклеофил никакой, ему активация нужна.

Ссылка на комментарий

вы можете проводить модификацию трансректально: упомянутый полуацетальный гидроксил селективно способен реагировать со спиртами, вы можете его защитить, потом повесить защитные группы на остальные гидроксилы, модифицировать при надобности амидные азоты, снять защиту с ацетального гидроксила, модифицировать его кислотным фрагментом, снять защиту с остальных гидроксилов.

Ссылка на комментарий

Для публикации сообщений создайте учётную запись или авторизуйтесь

Вы должны быть пользователем, чтобы оставить комментарий

Создать аккаунт

Зарегистрируйте новый аккаунт в нашем сообществе. Это очень просто!

Регистрация нового пользователя

Войти

Уже есть аккаунт? Войти в систему.

Войти
  • Последние посетители   0 пользователей онлайн

    • Ни одного зарегистрированного пользователя не просматривает данную страницу
×
×
  • Создать...

Важная информация

Мы разместили cookie-файлы на ваше устройство, чтобы помочь сделать этот сайт лучше. Вы можете изменить свои настройки cookie-файлов, или продолжить без изменения настроек.