Перейти к содержанию
Форум химиков на XuMuK.ru.

Как синтезировать вещества из неорганических реагентов?


rnkey

Рекомендуемые сообщения

🚑 Решение задач, контроши, рефераты, курсовые и другое! Онлайн сервис помощи учащимся. Цены в 2-3 раза ниже! 200 руб. на 1-й заказ по коду vsesdal143982

 

Здравствуйте! Помогите, пожалуйста

Из неорганических реагентов, используя необходимые растворители и катализаторы, синтезируйте:

 

Это вы серьезно или в школе задали? начните с карбида кальция

Ссылка на комментарий

   

Это вы серьезно или в школе задали? начните с карбида кальция

я провела реакции:

CaC2+H2O=Ca(OH)2+C2H2

C2H2=C6H6

а вот потом сомневаюсь, знаю, что можно использовать такие:

C6H6+HNO3=C6H6NO2

C6H6NO2+Br2=C6H6NO2Br

C6H6Br+Na+эфир=дифенол. 

но какую использовать вначале? и как из дифенола убрать в одном из бензольных колец двойные связи?

много вопросов, потому что в школе не было органической химии, а в университете сейчас очень много требуют, когда даже основы толком не пройдены 

Ссылка на комментарий

я провела реакции:

CaC2+H2O=Ca(OH)2+C2H2

C2H2=C6H6

а вот потом сомневаюсь, знаю, что можно использовать такие:

C6H6+HNO3=C6H6NO2

C6H6NO2+Br2=C6H6NO2Br

C6H6Br+Na+эфир=дифенол. 

но какую использовать вначале? и как из дифенола убрать в одном из бензольных колец двойные связи?

много вопросов, потому что в школе не было органической химии, а в университете сейчас очень много требуют, когда даже основы толком не пройдены 

 

Не надо дифенил. У вас же есть бензол, так сделайте из него циклогексан:

C6H6 --(H2, Ni)--> C6H12

Из циклогексана - хлорциклогексан. А потом циклогексилбензол по реакции Фриделя-Крафтса. А уж циклогексилбензол можно пробромировать (с AlBr3), а потом - пронитровать.

 

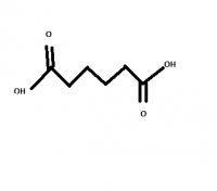
Вторую молекулу можно сварить из хлорциклогексана, который у нас уже есть, превратив его в циклогексен, который можно расщепить перманганатом в гександикарбонову кислоту.

Изменено пользователем yatcheh
Ссылка на комментарий

Не надо дифенил. У вас же есть бензол, так сделайте из него циклогексан:

C6H6 --(H2, Ni)--> C6H12

Из циклогексана - хлорциклогексан. А потом циклогексилбензол по реакции Фриделя-Крафтса. А уж циклогексилбензол можно пробромировать (с AlBr3), а потом - пронитровать.

 

Вторую молекулу можно сварить из хлорциклогексана, который у нас уже есть, превратив его в циклогексен, который можно расщепить перманганатом в гександикарбонову кислоту.

Спасибо вам огромное!

Ссылка на комментарий

Для публикации сообщений создайте учётную запись или авторизуйтесь

Вы должны быть пользователем, чтобы оставить комментарий

Создать аккаунт

Зарегистрируйте новый аккаунт в нашем сообществе. Это очень просто!

Регистрация нового пользователя

Войти

Уже есть аккаунт? Войти в систему.

Войти
  • Последние посетители   0 пользователей онлайн

    • Ни одного зарегистрированного пользователя не просматривает данную страницу
×
×
  • Создать...

Важная информация

Мы разместили cookie-файлы на ваше устройство, чтобы помочь сделать этот сайт лучше. Вы можете изменить свои настройки cookie-файлов, или продолжить без изменения настроек.