Перейти к содержанию
Форум химиков на XuMuK.ru.

Восстановление динитрила


Nimicus
Перейти к решению Решено yatcheh,

Рекомендуемые сообщения

🚑 Решение задач, контроши, рефераты, курсовые и другое! Онлайн сервис помощи учащимся. Цены в 2-3 раза ниже! 200 руб. на 1-й заказ по коду vsesdal143982

Здравствуйте!

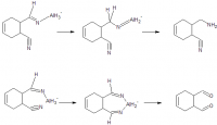
Подскажите, пожалуйста, что будет образовываться с результате данных реакций:

attachicon.gifсхема 32.png

 

Ну, тут или нитрилоамин получится, или диальдегид

 

post-103913-0-58172900-1492108472_thumb.png

 

Нитрилоамин - пресно как-то. Диальдегид - занятно :)

 

Хотя нет. Бредятина. Пол-моля гидрида хватит ровно на одну циано-группу. Брутто.

Но если он (тетрагидроалюминат) зацепился, то отвалившись, будет с равным успехом реагировать как с чужой цианогруппой, так и с соседней. То есть - получится смесь. Или я чего-то не понимаю в этой жизни :(

 

Пойду спать.

Изменено пользователем yatcheh
Ссылка на комментарий

Ну, тут или нитрилоамин получится, или диальдегид

 

attachicon.gifnoname01.png

 

Нитрилоамин - пресно как-то. Диальдегид - занятно :)

Диальдегид интересней, да) Но там почемe-то указано 0,5 M (т.е. полмоля LiAlH4 на моль динитрила). По механизму 1 моль LiAlH4 восстанавливает 1 моль динитрила (до аминонитрила либо до диальдегида - не важно)...

Ссылка на комментарий
  • Решение

Диальдегид интересней, да) Но там почемe-то указано 0,5 M (т.е. полмоля LiAlH4 на моль динитрила). По механизму 1 моль LiAlH4 восстанавливает 1 моль динитрила (до аминонитрила либо до диальдегида - не важно)...

 

Да нет. 1 моль восстановит обе цианогруппы до амина. Пол-моля - как раз на одну. В этом-то и вся проблема. Аминонитрил, диальдегид, или смесь диамина, аминонитрила, диальдегида и исходника.

Ссылка на комментарий

Да нет. 1 моль восстановит обе цианогруппы до амина. Пол-моля - как раз на одну. В этом-то и вся проблема. Аминонитрил, диальдегид, или смесь диамина, аминонитрила, диальдегида и исходника.

Спасибо)

Ссылка на комментарий

Для публикации сообщений создайте учётную запись или авторизуйтесь

Вы должны быть пользователем, чтобы оставить комментарий

Создать аккаунт

Зарегистрируйте новый аккаунт в нашем сообществе. Это очень просто!

Регистрация нового пользователя

Войти

Уже есть аккаунт? Войти в систему.

Войти
  • Последние посетители   0 пользователей онлайн

    • Ни одного зарегистрированного пользователя не просматривает данную страницу
×
×
  • Создать...

Важная информация

Мы разместили cookie-файлы на ваше устройство, чтобы помочь сделать этот сайт лучше. Вы можете изменить свои настройки cookie-файлов, или продолжить без изменения настроек.