Перейти к содержанию
Форум химиков на XuMuK.ru.

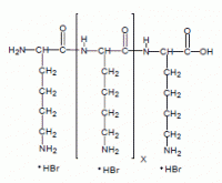
Способность С=О группы полилизина к взаимодейстию


irusya_25

Рекомендуемые сообщения

🚑 Решение задач, контроши, рефераты, курсовые и другое! Онлайн сервис помощи учащимся. Цены в 2-3 раза ниже! 200 руб. на 1-й заказ по коду vsesdal143982

Способна ли группа С=О  полилизина к каким-либо взаимодействиям в кислой среде?


Способна ли группа С=О  полилизина к каким-либо взаимодействиям в кислой среде?


Способна ли группа С=О  полилизина к каким-либо взаимодействиям в кислой среде?

post-124625-0-34376800-1511428139_thumb.gif

Ссылка на комментарий

Для публикации сообщений создайте учётную запись или авторизуйтесь

Вы должны быть пользователем, чтобы оставить комментарий

Создать аккаунт

Зарегистрируйте новый аккаунт в нашем сообществе. Это очень просто!

Регистрация нового пользователя

Войти

Уже есть аккаунт? Войти в систему.

Войти
  • Последние посетители   0 пользователей онлайн

    • Ни одного зарегистрированного пользователя не просматривает данную страницу
×
×
  • Создать...

Важная информация

Мы разместили cookie-файлы на ваше устройство, чтобы помочь сделать этот сайт лучше. Вы можете изменить свои настройки cookie-файлов, или продолжить без изменения настроек.