Перейти к содержанию
Форум химиков на XuMuK.ru.

Как влияет структура соединения на реакцию сульфирования?


Рекомендуемые сообщения

🚑 Решение задач, контроши, рефераты, курсовые и другое! Онлайн сервис помощи учащимся. Цены в 2-3 раза ниже! 200 руб. на 1-й заказ по коду vsesdal143982
4 минуты назад, ash111 сказал:

Идэально

только читать серьезно и с выражением)):lol:

отлично,осталось уравнения написать)))Буду пытаться

5 минут назад, ash111 сказал:

Идэально

только читать серьезно и с выражением)):lol:

сейчас скину что получилось))))

Ссылка на комментарий
33 минуты назад, ash111 сказал:

Идэально

только читать серьезно и с выражением)):lol:

ВОт что у меня получилось))))))

Сульфирование - реакция электрофильного замещения. Поэтому оно идет тем лучше, чем больше электронная плотность в бензольном кольце. У толуола (– CH3 Ориентант I рода, +I +M эффекты), у анизола (O-CH3 ориентант I рода  -I +M эффекты). Ориентанты I рода, повышают электронную плотность в бензольном кольце, увеличивают его активность в реакциях электрофильного замещения, у нитрогруппы (-NO2 - ориентант II рода (мета— ориентанты) -I -M эффекты). Все ориентанты II рода, уменьшают в целом электронную плотность в бензольном кольце, снижают его активность в реакциях электрофильного замещения.

Таким образом, легкость электрофильного замещения для соединений, уменьшается в ряду:

а) толуол, б) анизол, в) нитробензол

Реакция сульфирования толуола:

image.png.60b3e7ca46b748f8a928b1de200a990b.png

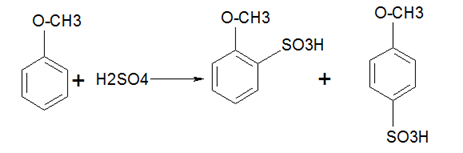
Реакция сульфирования анизола:

image.png.2f5d251b81f053eb867651dff46c1dd6.png

image.png.226b8ea9c3c504abe67efa0cc72236a3.png

продукты реакции: толуол = о и п-толуолсульфокислота

анизол = о и п- анизолсульфокислоты

нитробензол -= м-нитробензолсульфокислота

Ссылка на комментарий

Для публикации сообщений создайте учётную запись или авторизуйтесь

Вы должны быть пользователем, чтобы оставить комментарий

Создать аккаунт

Зарегистрируйте новый аккаунт в нашем сообществе. Это очень просто!

Регистрация нового пользователя

Войти

Уже есть аккаунт? Войти в систему.

Войти
  • Последние посетители   0 пользователей онлайн

    • Ни одного зарегистрированного пользователя не просматривает данную страницу
×
×
  • Создать...

Важная информация

Мы разместили cookie-файлы на ваше устройство, чтобы помочь сделать этот сайт лучше. Вы можете изменить свои настройки cookie-файлов, или продолжить без изменения настроек.