Перейти к содержанию
Форум химиков на XuMuK.ru.

Взаимная растворимость полярных органических соединений


Рекомендуемые сообщения

🚑 Решение задач, контроши, рефераты, курсовые и другое! Онлайн сервис помощи учащимся. Цены в 2-3 раза ниже! 200 руб. на 1-й заказ по коду vsesdal143982

Дорогие химики, здравствуйте!
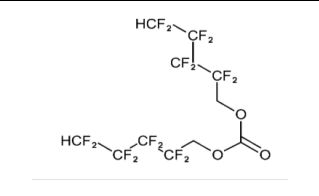
Работаю с экстракционными смесями, смесь 0,1 М полярный экстрагент в полярном разбавителе, представлены на рисунках соответственно
После смешения и выдержки в течении примерно 3-4 часов при комнатной температуре начинают расслаиваться, видно что на поверхности появляется вторая фаза, которая исчезает при перемешивании. Возможно ли на основании структуры объяснить такое поведение? И какую литературу можно прочитать на тему? (Растворимость, эффекты взаимодействия происходящие в смеси)
 image008.pngimage.png.e529faccc6e576544d186b6892286abd.png

Ссылка на комментарий
В 22.01.2025 в 19:27, Дмитрий детектив сказал:

Дорогие химики, здравствуйте!
Работаю с экстракционными смесями, смесь 0,1 М полярный экстрагент в полярном разбавителе, представлены на рисунках соответственно
После смешения и выдержки в течении примерно 3-4 часов при комнатной температуре начинают расслаиваться, видно что на поверхности появляется вторая фаза, которая исчезает при перемешивании. Возможно ли на основании структуры объяснить такое поведение? И какую литературу можно прочитать на тему? (Растворимость, эффекты взаимодействия происходящие в смеси)
 image008.pngimage.png.e529faccc6e576544d186b6892286abd.png

Перфторорганика  штука специфическая, она малорастворима в обычной органике амин играет роль ПАВа -диспергатора, но как ПАВ он слабоват, чтобы получить устойчивый коллоидный раствор перфторорганики

Ссылка на комментарий

Пока растворимость не имеет общей теории. Если только кто-то подскажет литературу по похожим системам. Скорее всего такие растворители исследуют для литий-ионных батарей.

Ссылка на комментарий

Для публикации сообщений создайте учётную запись или авторизуйтесь

Вы должны быть пользователем, чтобы оставить комментарий

Создать аккаунт

Зарегистрируйте новый аккаунт в нашем сообществе. Это очень просто!

Регистрация нового пользователя

Войти

Уже есть аккаунт? Войти в систему.

Войти
  • Последние посетители   0 пользователей онлайн

    • Ни одного зарегистрированного пользователя не просматривает данную страницу
×
×
  • Создать...

Важная информация

Мы разместили cookie-файлы на ваше устройство, чтобы помочь сделать этот сайт лучше. Вы можете изменить свои настройки cookie-файлов, или продолжить без изменения настроек.