Перейти к содержанию
Форум химиков

Строение СЕД гидрозоля Fe(ОН)3


Перейти к решению Решено bacan,

Рекомендуемые сообщения

🚑 Решение задач, контроши, рефераты, курсовые и другое! Онлайн сервис помощи учащимся. Цены в 2-3 раза ниже! 200 руб. на 1-й заказ по коду vsesdal143982

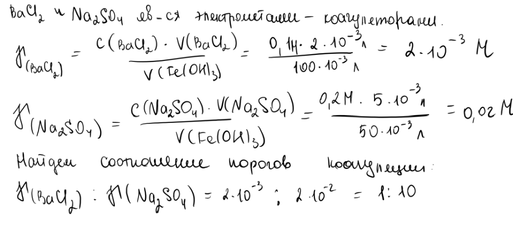
Для коагуляции 100 см3 гидрозоля Fe(ОН)3 потребовалось 2 см3 0,1 М раствора BаСl2, а для

коагуляции 50 см3 этого же золя – 5 см3 0,2 М раствора Na2SO4. Определите ионы-коагуляторы.

Самостоятельно выбрав электролит-стабилизатор, напишите строение структурной единицы

дисперсной фазы гидрозоля.

 

Нашла что коллоидная частица отрицательно заряжена и ионы-коагуляторы Na+ и Ba2+ по правилу Шульце-Гарда, но вот эту часть (Самостоятельно выбрав электролит-стабилизатор, напишите строение структурной единицы дисперсной фазы гидрозоля) не знаю как сделать.

Получается что коллоидная частица по условию задачи должна быть отрицательной, а у гидрозоля Fe(OH)3 она положительная, если рассматривать гидролиз FeCl3 например 

 

И если взять в качестве электролита -стабилизатора щёлочь?

 

 

Screenshot_2025-06-25-03-15-57-703_cn.wps.xiaomi.abroad.lite.png

Изменено пользователем n.klimashevich
Ссылка на комментарий
  • 2 недели спустя...
  • Решение

Так как коллоидная частица  Fe(OH)3  положительная, то коагулирующим действием по условию задачи обладают ионы Сl- и SO42- (первое правило  Шульце—Гарди). Чем больше заряд коагулирующего иона, тем сильнее его коагулирующее действие, поэтому cfvjcnjzntkmyj можно выбрать р=р Na3PO4, (Z = -3).

 

Количественно второе правило Шульце—Гарди выражается зависимостью:

Ск = 1/Z6, где

Z - численное значение заряда катиона-коагулянта или иона-коагулянта.

Тогда

1/16 : 1/26 : 1/36 = 1 : 1/64 : 1/729.

 

Если рассчитать порог коагуляции по формуле: Ск = (Сн * Vзл-та * 1000)/(Vзл-та + Vзоля), то по данным задачи, действительно, получается что Ск(Na2SO4) значительно больше, чем Ск(BaCl2). Значит, условие задачи некорректно.

 

Где то я читал, что Ск(Na2SO4) для золя Fe(OH)3 примерно 2 ммоль/л.

  • Спасибо! 2
Ссылка на комментарий

Для публикации сообщений создайте учётную запись или авторизуйтесь

Вы должны быть пользователем, чтобы оставить комментарий

Создать аккаунт

Зарегистрируйте новый аккаунт в нашем сообществе. Это очень просто!

Регистрация нового пользователя

Войти

Уже есть аккаунт? Войти в систему.

Войти
  • Последние посетители   0 пользователей онлайн

    • Ни одного зарегистрированного пользователя не просматривает данную страницу
×
×
  • Создать...

Важная информация

Мы разместили cookie-файлы на ваше устройство, чтобы помочь сделать этот сайт лучше. Вы можете изменить свои настройки cookie-файлов, или продолжить без изменения настроек.