Перейти к содержанию
Форум химиков на XuMuK.ru.

2-окси,4-метилхинолин + гидразин


Рекомендуемые сообщения

🚑 Решение задач, контроши, рефераты, курсовые и другое! Онлайн сервис помощи учащимся. Цены в 2-3 раза ниже! 200 руб. на 1-й заказ по коду vsesdal143982

Здравствуйте, объясните пожалуйста образование нижнего соединения (продукт реакции с гидразином) и заодно проверьте мой вариант.

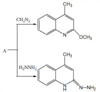
"Назовите исходное вещество (А) и объясните образвание приведенных ниже соединений:

post-107695-0-21649500-1464813702_thumb.png "

Вещество А - судя по всему 2-окси (или гидрокси), 4-метилхинолин.

Механизм образования верхнего соединения мне понятен (при протонировании диазометана образуется карбкатион CH2+, который атакует OH группу, образуя метоксильную).

А что с нижним соединением?

Я так понимаю, что происходит протонирование гидроксильной группы протоном гидразина, отщепление молекулы воды, присоединение гидразина и перегруппировка. Как она называется я не помню, вроде "енаминовая". И почему она происходит? Очевидно что соединение более стабильно в этой форме, и перегруппировка выгодна, но чем эта выгода обусловлена я не понимаю. Поправьте меня пожалуйста, мне очень нужна Ваша помощь, господа.

post-107695-0-34683000-1464814242_thumb.png

Изменено пользователем Ky3Mi4MC
Ссылка на комментарий
Механизм образования верхнего соединения мне понятен (при протонировании диазометана образуется карбкатион CH2+).

 

CH3+

А что с нижним соединением?

Я так понимаю, что происходит протонирование гидроксильной группы протоном гидразина, отщепление молекулы воды, присоединение гидразина и перегруппировка. Как она называется я не помню, вроде "енаминовая". И почему она происходит? Очевидно что соединение более стабильно в этой форме, и перегруппировка выгодна, но чем эта выгода обусловлена я не понимаю. Поправьте меня пожалуйста, мне очень нужна Ваша помощьь, господа.

 

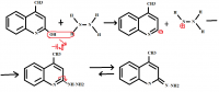
Здесь просто таутомерия. Механизм аналогичен образованию гидразонов из кетонов.

Ссылка на комментарий

Для публикации сообщений создайте учётную запись или авторизуйтесь

Вы должны быть пользователем, чтобы оставить комментарий

Создать аккаунт

Зарегистрируйте новый аккаунт в нашем сообществе. Это очень просто!

Регистрация нового пользователя

Войти

Уже есть аккаунт? Войти в систему.

Войти
  • Последние посетители   0 пользователей онлайн

    • Ни одного зарегистрированного пользователя не просматривает данную страницу
×
×
  • Создать...

Важная информация

Мы разместили cookie-файлы на ваше устройство, чтобы помочь сделать этот сайт лучше. Вы можете изменить свои настройки cookie-файлов, или продолжить без изменения настроек.