Перейти к содержанию
Форум химиков

Карбоксицеллюлоза - существует ли такое вещество?


Рекомендуемые сообщения

🚑 Решение задач, контроши, рефераты, курсовые и другое! Онлайн сервис помощи учащимся. Цены в 2-3 раза ниже! 200 руб. на 1-й заказ по коду vsesdal143982

Карбоксиметилцеллюлоза КМЦ хорошо известна и широко применяется. Она получается присоединением молекул уксусной кислоты к гидроксильным группам в глюкозных кольцах, из которых строится молекула целлюлозы. Присоединение происходит с метильного конца молекул уксусной кислоты. Если поменять способ присоединения на эфирный, то получится ацетилцеллюлоза. Это вещество тоже хорошо известно. Поменяем  уксусную кислоту на муравьиную.Формиат целлюлозы известен, хотя пишут, что он неустойчив. Ещё имеется метилцеллюлоза. Она тоже хорошо известна. Меня интересует карбоксицеллюлоза. По идее она должна получаться присоединением молекул муравьиной кислоты к молекуле целлюлозы, но без этерификации. В Википедии нет сведений об этом веществе. В интернете оно упоминается в составе некоторых лекарств. Но здесь может иметь место смешение терминов, когда под названием карбоксицеллюлоза имеется в виду карбоксиметилцеллюлоза. Пожалуйста, подскажите, существует ли вещество карбоксицеллюлоза, и если да, где найти подробную информацию о её свойствах.

Ссылка на комментарий

Карбоксиметилцеллюлоза КМЦ хорошо известна и широко применяется. Она получается присоединением молекул уксусной кислоты к гидроксильным группам в глюкозных кольцах, из которых строится молекула целлюлозы. Присоединение происходит с метильного конца молекул уксусной кислоты. Если поменять способ присоединения на эфирный, то получится ацетилцеллюлоза. Это вещество тоже хорошо известно. Поменяем  уксусную кислоту на муравьиную.Формиат целлюлозы известен, хотя пишут, что он неустойчив. Ещё имеется метилцеллюлоза. Она тоже хорошо известна. Меня интересует карбоксицеллюлоза. По идее она должна получаться присоединением молекул муравьиной кислоты к молекуле целлюлозы, но без этерификации. В Википедии нет сведений об этом веществе. В интернете оно упоминается в составе некоторых лекарств. Но здесь может иметь место смешение терминов, когда под названием карбоксицеллюлоза имеется в виду карбоксиметилцеллюлоза. Пожалуйста, подскажите, существует ли вещество карбоксицеллюлоза, и если да, где найти подробную информацию о её свойствах.

 

Судя по патентам, для получения карбоксицеллюлозы используют окисление целлюлозы периодатом и/или двуокисью азота. Можно предположить, что при этом расщепляется часть глюкозных циклов, при чём расщепление не затрагивает гликозидные связи (то есть - полимерная структура целлюлозы не страдает). В месте расщепления появляются карбоксильные группы. Тут проблема в том, что у глюкозы нет цис-гидроксилов в её естественной форме. Гликольное расщепление должно быть сильно затруднено.

Одно понятно, что если "карбоксицеллюлоза" и существует - то это не благодаря "навешиванию" чего-то. Тут как-то сама цепь модифицируется.

Ссылка на комментарий

Если модифицируется сама цепь, то откуда уверенность, что получающееся вещество соответствует наименованию карбоксицеллюлоза? Нет ли возможности навесить карбоксильные группы ничего не разрушая?

Ссылка на комментарий

Если модифицируется сама цепь, то откуда уверенность, что получающееся вещество соответствует наименованию карбоксицеллюлоза? Нет ли возможности навесить карбоксильные группы ничего не разрушая?

 

Название тут ни о чём не говорит. Была целлюлоза - появились карбоксильные группы - вот вам и "карбоксицеллюлоза". Это название - чисто техническое, никак со строгой номенклатурой не связанное (что часто практикуется полимерщиками).

Что касается "навешивания" - я ж вам толкую, что упоминание этого продукта в патентах не предполагает никакого навешивания - только модификацию нативного полимера окислителями, углерода не несущими. Отсюда - и вывод, что это продукт частичного разрушения глюкозных циклов. 

Других источников (кроме этих патентов) нет, поэтому я и не делаю иных умозаключений. Были бы другие источники - были бы другие выводы.  :al:

Изменено пользователем yatcheh
Ссылка на комментарий

Ваше разъяснение понял. Но позвольте я немного пофантазирую. КМЦ получают в результате добавления к целлюлозе натриевой соли монохлоруксусной кислоты в щелочной среде 23% раствора NaOH (см. Куничан В. А., Харитонов С. В.) . Почему бы не заменить соль монохлоруксусной кислоты каким-либо эфиром хлоругольной кислоты. Или даже проще - присоединением CO2 к высушенной целлюлозе в присутствии газообразного хлорводорода. Температура, давление и бескислородная среда по необходимости.

Ссылка на комментарий

Ваше разъяснение понял. Но позвольте я немного пофантазирую. КМЦ получают в результате добавления к целлюлозе натриевой соли монохлоруксусной кислоты в щелочной среде 23% раствора NaOH (см. Куничан В. А., Харитонов С. В.) . Почему бы не заменить соль монохлоруксусной кислоты каким-либо эфиром хлоругольной кислоты. Или даже проще - присоединением CO2 к высушенной целлюлозе в присутствии газообразного хлорводорода. Температура, давление и бескислородная среда по необходимости.

 

Присоединение хлоругольного эфира даст соответствующий полный карбонат, который не может нести гордое название "карбокси". При гидролизе такого эфира получится прлукарбонат, который немедленно разложится с отщеплением CO2.

Присоединение СО2 - тоже обратимая реакция. Кислых карбонатов не существует в индивидуальном состоянии.

.

Ссылка на комментарий

Кислых карбонатов не существует в индивидуальном состоянии.

Правильно ли я понимаю, что в КМЦ связь карбоксиметильной группы через кислород является ковалентной

 

(глюкозное кольцо)O-CH2-COOH,

 

а в случае удаления метильного звена она становится ионной

 

(глюкозное кольцо)+[O-COOH]-,

 

и потому называется карбонатом (гидрокарбонатом). Если это так, поясните пожалуйста мне, почему гидрокарбонат натрия Na+[O-COOH]- вполне себе устойчив, а "гидрокарбонат целлюлозы" (если так это назвать) будет неустойчивым? Гидрокарбонат натрия в растворе даёт щелочную среду, но с формальной точки зрения - это кислая (не полностью замещённая) соль угольной кислоты. Нет ли тут противоречия с Вашим утверждением о несуществовании кислых карбонатов?

Изменено пользователем Ruslan_Sharipov
Ссылка на комментарий

Правильно ли я понимаю, что в КМЦ связь карбоксиметильной группы через кислород является ковалентной

 

(глюкозное кольцо)O-CH2-COOH,

 

а в случае удаления метильного звена она становится ионной

 

(глюкозное кольцо)+[O-COOH]-,

 

и потому называется карбонатом (гидрокарбонатом). Если это так, поясните пожалуйста мне, почему гидрокарбонат натрия Na+[O-COOH]- вполне себе устойчив, а "гидрокарбонат целлюлозы" (если так это назвать) будет неустойчивым? Гидрокарбонат натрия в растворе даёт щелочную среду, но с формальной точки зрения - это кислая (не полностью замещённая) соль угольной кислоты. Нет ли тут противоречия с Вашим утверждением о несуществовании кислых карбонатов?

 

Нет, там такая же ковалентная связь. В КМЦ это простая эфирная связь, в алкилкарбонатах - сложноэфирная. Т.е. получается сложный эфир целлюлозы и угольной кислоты:

<>CH-O-CO-OH

(символ <> обозначает глюкозное кольцо)

Как раз потому, что эта связь не ионная, кислые алкилкарбонаты неустойчивы, и сразу же декарбоксилируются. Это не мои измышления, это медицинский факт :)

Такого рода полуэфир может существовать в виде соли (R-O-COONa), но это уже будет не карбокси-группа, а карбоксилатная.

Изменено пользователем yatcheh
Ссылка на комментарий

Судя по патентам, для получения карбоксицеллюлозы используют окисление целлюлозы периодатом и/или двуокисью азота. Можно предположить, что при этом расщепляется часть глюкозных циклов, при чём расщепление не затрагивает гликозидные связи (то есть - полимерная структура целлюлозы не страдает). В месте расщепления появляются карбоксильные группы.

У целлюлозы окисляется и "хвостовая" ОН-группа (первичный спирт), причем в качестве окислителя может быть и перекись.

Вот если такая окисленная целлюлоза имеет право называться карбоксицеллюлозой в силу того, что имеет

в своем строении карбоксильные группы, то становится проще ориентироваться.

Ссылка на комментарий

У целлюлозы окисляется и "хвостовая" ОН-группа (первичный спирт), причем в качестве окислителя может быть и перекись.

Вот если такая окисленная целлюлоза имеет право называться карбоксицеллюлозой в силу того, что имеет

в своем строении карбоксильные группы, то становится проще ориентироваться.

 

Да, чёрт возьми! Слона-то я и не приметил!  :an:

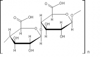
В каждом звене полимера есть готовые к окислению боковые -CH2-OH группы, способные окисляться NO2.

Тогда карбоксицеллюлоза, это 

 

post-103913-0-04490600-1478679992_thumb.png

 

Ну, окисляются, скорее всего не все гидроксиметилы, в каком-то количестве...

 

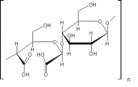
С другой стороны, периодат - классический реагент расщепления гликолей, так что и вариант с частичным расщеплением циклов тоже может иметь место. Есть такой метод анализа полисахаридов - "деградация по Смиту". Получаются при этом альдегидные группы, которые можно доокислить до карбоксилов двуокисью азота (заодно зацепить и часть боковых гидроксиметилов. Тогда появятся и такие фрагменты:

 

post-103913-0-72768400-1478685164_thumb.png

Изменено пользователем yatcheh
Ссылка на комментарий

Для публикации сообщений создайте учётную запись или авторизуйтесь

Вы должны быть пользователем, чтобы оставить комментарий

Создать аккаунт

Зарегистрируйте новый аккаунт в нашем сообществе. Это очень просто!

Регистрация нового пользователя

Войти

Уже есть аккаунт? Войти в систему.

Войти
  • Последние посетители   0 пользователей онлайн

    • Ни одного зарегистрированного пользователя не просматривает данную страницу
×
×
  • Создать...

Важная информация

Мы разместили cookie-файлы на ваше устройство, чтобы помочь сделать этот сайт лучше. Вы можете изменить свои настройки cookie-файлов, или продолжить без изменения настроек.