Перейти к содержанию
Форум химиков на XuMuK.ru.

энтальпия решетки и энтальпия реакции


eirena

Рекомендуемые сообщения

🚑 Решение задач, контроши, рефераты, курсовые и другое! Онлайн сервис помощи учащимся. Цены в 2-3 раза ниже! 200 руб. на 1-й заказ по коду vsesdal143982

Объясните, пожалуйста, разницу и сходство понятий: энтальпия реакции, энтальпия связи, энтальпия решетки, энтальпия образования. Энтальпия решетки и энтальпия образования это то же самое , что и энтальпия реакции?

Ссылка на комментарий
12.09.2022 в 08:10, eirena сказал:

Объясните, пожалуйста, разницу и сходство понятий: энтальпия реакции, энтальпия связи, энтальпия решетки, энтальпия образования. Энтальпия решетки и энтальпия образования это то же самое , что и энтальпия реакции?

 

энтальпия реакции - изменение энтальпии системы в процессе химической реакции

энтальпия образования - энтальпия реакции образования вещества из простых веществ, принятых за стандарт

энтальпия связи - энтальпия образования химической связи из свободных радикалов

энтальпия  решётки - энтальпия образования кристалла из газообразных ионов (или молекул)

  • Спасибо! 1
Ссылка на комментарий
12.09.2022 в 12:33, yatcheh сказал:

энтальпия реакции - изменение энтальпии системы в процессе химической реакции

энтальпия образования - энтальпия реакции образования вещества из простых веществ, принятых за стандарт

энтальпия связи - энтальпия образования химической связи из свободных радикалов

энтальпия  решётки - энтальпия образования кристалла из газообразных ионов (или молекул)

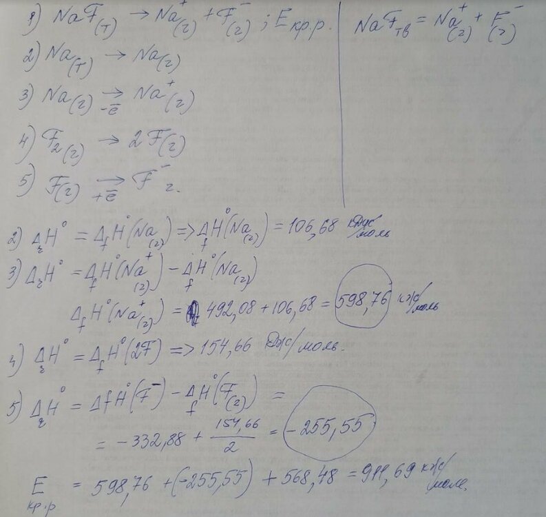
В задаче требуется найти энергию кристаллической решетки NaF/Получается. что в ниже прикрепленных решениях мы находим разные энтальпии? Численно ответы совпадают

777.jpg

7777.jpg

Ссылка на комментарий
13.09.2022 в 10:23, eirena сказал:

В задаче требуется найти энергию кристаллической решетки NaF/Получается. что в ниже прикрепленных решениях мы находим разные энтальпии? Численно ответы совпадают

 

 

Это одно и то же. 

Называется  цикл Борна-Габера (можно нагуглить)

  • Спасибо! 1
Ссылка на комментарий
13.09.2022 в 12:24, eirena сказал:

Почему ответы с разным знаком?

 

Потому что в первом случае получается ЭНЕРГИЯ кристаллической решётки, а во втором - ЭНТАЛЬПИЯ (см. на буковки в левой части равенства). Они равны по модулю, но имеют разные знаки.

Изменено пользователем yatcheh
  • Спасибо! 1
Ссылка на комментарий

То есть энергия кр р это та, что выделяется фактически при ее разрушении, а энтальпия в данном случае - та, что может выделится?

Изменено пользователем eirena
добавление цитаты
Ссылка на комментарий
13.09.2022 в 12:26, yatcheh сказал:

Потому что в первом случае получается ЭНЕРГИЯ кристаллической решётки, а во втором - ЭНТАЛЬПИЯ (см. на буковки в левой части равенства). Они равны по модулю, но имеют разные знаки.

То есть энергия кр р это та, что выделяется фактически при ее разрушении, а энтальпия в данном случае - та, что может выделится?

Ссылка на комментарий

Для публикации сообщений создайте учётную запись или авторизуйтесь

Вы должны быть пользователем, чтобы оставить комментарий

Создать аккаунт

Зарегистрируйте новый аккаунт в нашем сообществе. Это очень просто!

Регистрация нового пользователя

Войти

Уже есть аккаунт? Войти в систему.

Войти
  • Последние посетители   0 пользователей онлайн

    • Ни одного зарегистрированного пользователя не просматривает данную страницу
×
×
  • Создать...

Важная информация

Мы разместили cookie-файлы на ваше устройство, чтобы помочь сделать этот сайт лучше. Вы можете изменить свои настройки cookie-файлов, или продолжить без изменения настроек.