Перейти к содержанию
Форум химиков на XuMuK.ru.

Тестестерон


Рекомендуемые сообщения

🚑 Решение задач, контроши, рефераты, курсовые и другое! Онлайн сервис помощи учащимся. Цены в 2-3 раза ниже! 200 руб. на 1-й заказ по коду vsesdal143982
В 25.08.2025 в 00:34, ваниил сказал:

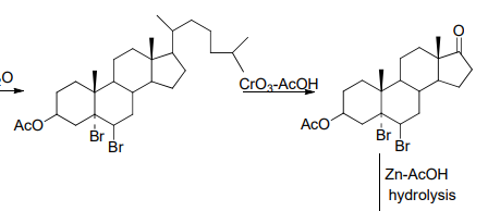
Есть ссылка на первоисточник? Не верится, что алкильный хвост так просто отваливается

image.png.ffa472df809c31ad5381265f2ede9b2c.png

 

Первоисточники:

Maas S. P. J., de Heus J. G. Rec. Trav., 77, 531 (1958) https://doi.org/10.1002/recl.19580770603

выходы там от 3 до 25%

 

Изменено пользователем chemister2010
  • Like 1
  • Отлично! 1
Ссылка на комментарий
  • 2 недели спустя...

Экзогенный тестостерон крайне вредная штука. При длительном его применении яйца перестают вырабатывать свой собственный тестостерон. Так что ну ево нафиг.

Ссылка на комментарий

Для публикации сообщений создайте учётную запись или авторизуйтесь

Вы должны быть пользователем, чтобы оставить комментарий

Создать аккаунт

Зарегистрируйте новый аккаунт в нашем сообществе. Это очень просто!

Регистрация нового пользователя

Войти

Уже есть аккаунт? Войти в систему.

Войти
  • Последние посетители   0 пользователей онлайн

    • Ни одного зарегистрированного пользователя не просматривает данную страницу
×
×
  • Создать...

Важная информация

Мы разместили cookie-файлы на ваше устройство, чтобы помочь сделать этот сайт лучше. Вы можете изменить свои настройки cookie-файлов, или продолжить без изменения настроек.