Перейти к содержанию
Форум химиков на XuMuK.ru.

работа с меркаптоуксусной кислотой


Astsergey

Рекомендуемые сообщения

🚑 Решение задач, контроши, рефераты, курсовые и другое! Онлайн сервис помощи учащимся. Цены в 2-3 раза ниже! 200 руб. на 1-й заказ по коду vsesdal143982

Вопрос к имеющим практический опыт работы с меркаптоуксусной кислотой, которая является частым участником ввода серы в различные соединения. 

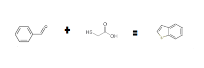
Так бензальдегид + меркаптоуксусная к-та --> бензтиофен , вопрос с ограничением образования смол при таких процессах.200976931_.png.93a01775caa0912f7a5aaac7b12fb0c4.png

Ссылка на комментарий
В 16.08.2025 в 18:09, Astsergey сказал:

Дело в том, что спектр ароматики шире чем приведенный пример, и мне интересен опыт работы.

 

А что вы вкладываете в слова "опыт работы"? МУК - обычная сераорганика. Кислота средней силы и средней летучести. В чистом виде имеет слабый тиольный запах, техническая - пахнет намного сильнее. Никаких особых приёмов работы с ней не существует. Легко окисляется до дисульфида.

 

Изменено пользователем yatcheh
  • Like 1
Ссылка на комментарий
В 17.08.2025 в 22:37, yatcheh сказал:

 

А что вы вкладываете в слова "опыт работы"? МУК - обычная сераорганика. Кислота средней силы и средней летучести. В чистом виде имеет слабый тиольный запах, техническая - пахнет намного сильнее. Никаких особых приёмов работы с ней не существует. Легко окисляется до дисульфида.

 

Я и спрашиваю: кто работал с подобными процессами практически. Теоретически, я тоже химик-органик и много чего делал. 

Ссылка на комментарий
В 17.08.2025 в 20:37, yatcheh сказал:

В чистом виде имеет слабый тиольный запах,

Ндаа ятчех жизнь то тебя покидала, раз МУК имеет слабый запах но я даже представлять не хочу что у тебя сильный))

Ссылка на комментарий
В 23.08.2025 в 23:22, ash111 сказал:

Ндаа ятчех жизнь то тебя покидала, раз МУК имеет слабый запах но я даже представлять не хочу что у тебя сильный))

 

Ты просто не держал в руках правильно очищенную МУК. У неё на удивление - весьма слабый запах.

Изменено пользователем yatcheh
  • Согласен! 1
Ссылка на комментарий

Для публикации сообщений создайте учётную запись или авторизуйтесь

Вы должны быть пользователем, чтобы оставить комментарий

Создать аккаунт

Зарегистрируйте новый аккаунт в нашем сообществе. Это очень просто!

Регистрация нового пользователя

Войти

Уже есть аккаунт? Войти в систему.

Войти
  • Последние посетители   0 пользователей онлайн

    • Ни одного зарегистрированного пользователя не просматривает данную страницу
×
×
  • Создать...

Важная информация

Мы разместили cookie-файлы на ваше устройство, чтобы помочь сделать этот сайт лучше. Вы можете изменить свои настройки cookie-файлов, или продолжить без изменения настроек.