Перейти к содержанию
Форум химиков на XuMuK.ru.

Почему фенолы не вступают в реакцию этерификации?


Денис222
Перейти к решению Решено Caesium137,

Рекомендуемые сообщения

🚑 Решение задач, контроши, рефераты, курсовые и другое! Онлайн сервис помощи учащимся. Цены в 2-3 раза ниже! 200 руб. на 1-й заказ по коду vsesdal143982

здравствуйте! я школьник

объясните пожалуйста понятным языком, почему фенолы в отличие от спиртов не вступают в реакцию этерификации, хотя у них протон «подвижнее» и вроде как уходит лучше, чем у спиртов 

Ссылка на комментарий
В 14.08.2025 в 16:57, Денис222 сказал:

здравствуйте! я школьник

объясните пожалуйста понятным языком, почему фенолы в отличие от спиртов не вступают в реакцию этерификации, хотя у них протон «подвижнее» и вроде как уходит лучше, чем у спиртов 

 

Фенолы, в принципе, этерифицируются кислотами, но - намного медленнее, чем спирты, и с плохими выходом.

Подвижность протона в этом случае - не благоприятствующий фактор. Увеличение подвижности протона в фенолах связано с p-π cопряжением кислорода с фенилом. Из-за этого нуклеофильность кислорода в феноле понижена, а в реакции этерификации нуклеофильность спирта - главный фактор скорости (при прочих равных- условиях). 

  • Like 1
Ссылка на комментарий
  • Решение

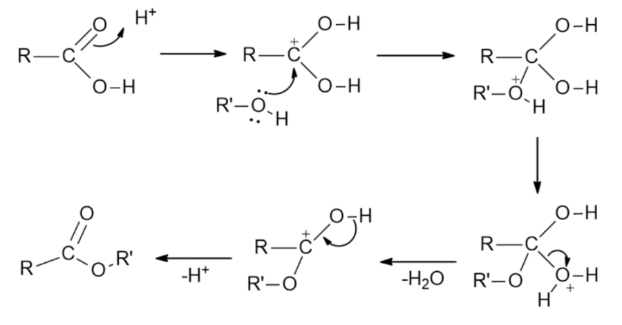
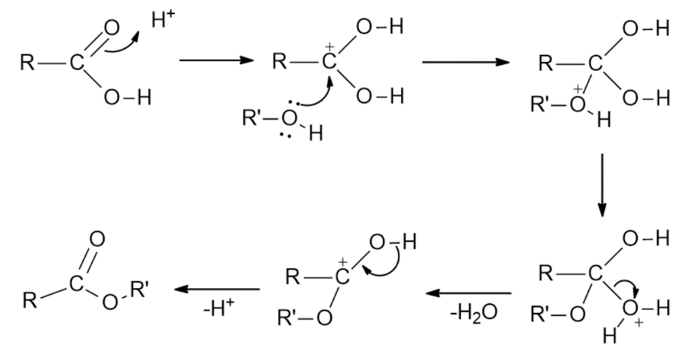
image.thumb.png.048bdc7fd894ced52525d0408e6946bf.png

Вот механизм этерификации. Как видим, спирт атакует углерод неподеленной электронной парой кислорода, но в феноле эта НЭП вовлечена в сопряжение, что уменьшает её доступность, а следовательно снижает скорость реакции

Ссылка на комментарий
  • XuMuK изменил название на Почему фенолы не вступают в реакцию этерификации?
В 14.08.2025 в 23:04, Caesium137 сказал:

 

Вот механизм этерификации. Как видим, спирт атакует углерод неподеленной электронной парой кислорода, но в феноле эта НЭП вовлечена в сопряжение, что уменьшает её доступность, а следовательно снижает скорость реакции

Немного не так. На стадии где выбирается, кто же уйдет - фенолят или гидроксил, выбор происходит в пользу фенолята, потому что он кислее чем гидроксил.

Ссылка на комментарий
В 15.08.2025 в 23:59, ash111 сказал:

Немного не так. На стадии где выбирается, кто же уйдет - фенолят или гидроксил, выбор происходит в пользу фенолята, потому что он кислее чем гидроксил.

А где там гидроксил уходит?

Ссылка на комментарий
В 15.08.2025 в 23:05, Caesium137 сказал:

А где там гидроксил уходит?

Ну, окей, вода) вторая стадия процесса - там стрелка в обе стороны должна стоять потому что это обратимый процесс.

Ссылка на комментарий
В 16.08.2025 в 01:24, ash111 сказал:

Ну, окей, вода) вторая стадия процесса - там стрелка в обе стороны должна стоять потому что это обратимый процесс.

Ну так вода уходит, потому что она лучше связывается с водородом по НЭП)))

И тут любые стадии обратимы, не только вторая

Ссылка на комментарий
В 16.08.2025 в 12:38, Caesium137 сказал:

Ну так вода уходит, потому что она лучше связывается с водородом по НЭП)))

Чиииво?😄а в спирте кислорода нету чтоли с НЭП?) А в амине еще круче НЭП, так как же амиды образуются?))

не, с этим я не могу согласиться)) если брать спирты то там эстерификация идет за счет сдвига равновесия - допустим часть воды отгоняется с избытком спирта. Если брать фенол, то то же самое равновесие сильно вдвинуто в сторону исходных, но его тоже можно сдвинуть (правда при этом может пойти не ацилирование по кислороду, а вполне себе Фридель Крафтс)

Ссылка на комментарий
В 16.08.2025 в 17:01, ash111 сказал:

Чиииво?😄а в спирте кислорода нету чтоли с НЭП?) А в амине еще круче НЭП, так как же амиды образуются?))

не, с этим я не могу согласиться)) если брать спирты то там эстерификация идет за счет сдвига равновесия - допустим часть воды отгоняется с избытком спирта. Если брать фенол, то то же самое равновесие сильно вдвинуто в сторону исходных, но его тоже можно сдвинуть (правда при этом может пойти не ацилирование по кислороду, а вполне себе Фридель Крафтс)

Раскрою мысль:
Медленной стадией в реакции этерификации является как раз присоединение спирта к карбкатиону. Т.Е. эта стадия является определяющей. И из-за того, что фенол своей НЭП бьёт хуже, чем обычный спирт, то он медленнее этерифицируется. 

Остальные превращения являются быстрыми. Если конкретно рассматриваться равновесие PhOH+ <-> H2O+, То оно будет смещено в сторону H2O+, т.к. -OH-группа более сильный акцептор протона. Да, в других процессах мб смещение равновесия пойдет в другую сторону, но у них и скорость-определяющая стадия, в таком случае, протекает гораздо быстрее. 
 

Ссылка на комментарий
В 16.08.2025 в 21:51, Caesium137 сказал:

Медленной стадией в реакции этерификации является как раз присоединение спирта к карбкатиону. Т.Е. эта стадия является определяющей. И из-за того, что фенол своей НЭП бьёт хуже, чем обычный спирт, то он медленнее этерифицируется. 

Мне немножко странно это слышать, потому что кинетика завязана в основном на стерику (которая там понятно тоже играет роль, с трет-бутанолом реакция идет вообще по-другому, хотя у него обычная спиртовая НЭП), а разница в нуклеофильности как раз таки определяет результат обратимой реакции. Но я не хочу спорить, в целом мысль понятна и для школьного вопроса такой ответ, разумеется, адекватным и полным.

 

Ссылка на комментарий

Для публикации сообщений создайте учётную запись или авторизуйтесь

Вы должны быть пользователем, чтобы оставить комментарий

Создать аккаунт

Зарегистрируйте новый аккаунт в нашем сообществе. Это очень просто!

Регистрация нового пользователя

Войти

Уже есть аккаунт? Войти в систему.

Войти
  • Последние посетители   0 пользователей онлайн

    • Ни одного зарегистрированного пользователя не просматривает данную страницу
×
×
  • Создать...

Важная информация

Мы разместили cookie-файлы на ваше устройство, чтобы помочь сделать этот сайт лучше. Вы можете изменить свои настройки cookie-файлов, или продолжить без изменения настроек.